@user_1750905

20 Publicaciones

1.04k Interacciones

1 Seguidores

0 Siguiendo

Lista de publicaciones de user_1750905

He publicado nuevos apuntes de 5º Enfermedades infecciosas y microbiología clínica: Tabla-Tema-7.-Bacterias-intracelulares.pdf

3 páginas

He publicado nuevos apuntes de 5º Enfermedades infecciosas y microbiología clínica: Tabla-tema-06.-Hongos.pdf

3 páginas

He publicado nuevos apuntes de 5º Farmacología Clínica: Tabla-Insuficiencia-cardiaca-farmacos.pdf

3 páginas

He publicado nuevos apuntes de 5º Endocrinología y nutrición I: Power-Tema-5.-Hipercalcemia.-Hiperparatiroidismo.pdf

18 páginas

He publicado nuevos apuntes de 5º Endocrinología y nutrición I: Power-Tema-4.-Nodulo-y-cancer-de-tiroides-2025-2026.pdf

18 páginas

2025-2026

27 páginas

He publicado nuevos apuntes de 5º Endocrinología y nutrición I: Power-TEMA-2.-Hipertiroidismo-y-tiroiditis.pdf

22 páginas

Respuestas del profesor

2 páginas

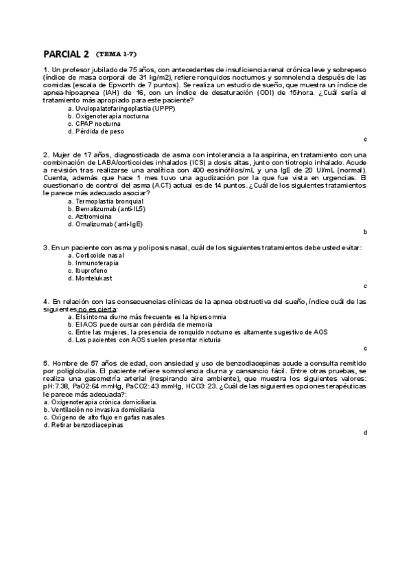
He publicado nuevos examenes de 4º Patología del Aparato Respiratorio: 2025-PARCIAL-3 (T. 9-13) (resp-a-parte).pdf

3 páginas

Respuestas del profesor

2 páginas

He publicado nuevos examenes de 4º Patología del Aparato Respiratorio: 2025-PARCIAL-1 RESPI (T. 18-23) (resp-a-parte).pdf

2 páginas

Parciales de respi del 1 al 4 con respuestas a parte.

9 páginas

Es el examen oficial

8 páginas

Es el examen oficial

8 páginas

He publicado nuevos examenes de 1º Estadística: Examen-correccion-2021-Enero.pdf

27 páginas

Son los tests que nos ha ido haciendo el profesor Onofre a lo largo del curso al final de clase. Ha dicho que las preguntas del examen serán similares a estas.

27 páginas

He publicado nuevos examenes de 3º Radiologia General: Examen-2020-2a-conv-CON-RESPUESTAS-separadas-radiologia-general.pdf

10 páginas

He publicado nuevos apuntes de 2º Integración bioquímica y bioquímica clínica: Temas del 1 al 4 y 8 (2022-2023).pdf

32 páginas

He publicado nuevos apuntes de 2º Historia de la medicina y documentación: TEMA 1 Y 2 (2022-2023).pdf

4 páginas

He publicado nuevos apuntes de 3º Farmacologia General y de Organos y Sistemas: Tabla-COMPLETA-receptores-Muscarinicos-y-Adrenergicos.pdf

4 páginas