@user_1887659

48 Publicaciones

1.39k Interacciones

2 Seguidores

0 Siguiendo

Lista de publicaciones de user_1887659

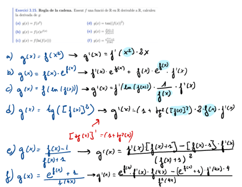
He publicado nuevos examenes de 1º Álgebra y Cálculo Multivariable: PRIMER-PARCIAL-algebraTestSOLUCIO.pdf

4 páginas

He publicado nuevos examenes de 3º Ingeniería de Fluidos: Examen-3.pdf

2 páginas

He publicado nuevos examenes de 3º Ingeniería de Fluidos: Examen-2.pdf

5 páginas

He publicado nuevos examenes de 1º Química: examenreevaluacion.pdf

12 páginas

He publicado nuevos apuntes de 1º Ciencia y Tecnología de Materiales: Apuntes-CG-2n-Parcial-2.pdf

6 páginas

He publicado nuevos examenes de 1º Ciencia y Tecnología de Materiales: CTM2021-2022finalResuelto.pdf

7 páginas

He publicado nuevos examenes de 2º Estadística: ExamenR.pdf

11 páginas

He publicado nuevos examenes de 1º Física II: Fundamentos de Electromagnetismo: F2Test1Q1T20212022SOL.pdf

4 páginas

He publicado nuevos examenes de 1º Informática: EXTRA.pdf

21 páginas

He publicado nuevos examenes de 1º Química: 2a-Avaluacio.pdf

2 páginas

He publicado nuevos examenes de 1º Química: enero2019finalc935f21ee164e516133edd99d8e2ebfd.pdf

14 páginas

He publicado nuevos examenes de 1º Química: img388.pdf

1 página

He publicado nuevos examenes de 1º Química: enero2017final.pdf

18 páginas

He publicado nuevos examenes de 1º Química: junio2018final49bf92740953bbb4d10934dd994bf546.pdf

14 páginas

He publicado nuevos examenes de 1º Cálculo: correccions-matematiques-ciencies-socials070720.pdf

6 páginas

He publicado nuevos examenes de 1º Cálculo: Doc1.pdf

2 páginas

He publicado nuevos examenes de 1º Cálculo: exsrepascomplexos.pdf

1 página

He publicado nuevos examenes de 1º Cálculo: examen-2019.pdf

7 páginas

He publicado nuevos examenes de 1º Cálculo: MiniIntensiu.Dia2.pdf

17 páginas

He publicado nuevos examenes de 1º Álgebra y Cálculo Multivariable: RECUS.pdf

2 páginas