@user_2181064

14 Publicaciones

40 Interacciones

0 Seguidores

0 Siguiendo

Lista de publicaciones de user_2181064

ejercicios

-

Producto Vectorial

He publicado nuevos ejercicios de 1º Álgebra Lineal: Producto Vectorial

EJERCICIOS-CALCULO-INGIENERIA-INFORMATICA-EPIGIJON-RESUELTOS.pdf
EJERCICIOS-CALCULO-INGIENERIA-INFORMATICA-EPI-GIJON-RESUELTOS.pdf
EJERCICIO18-EPI.pdf
EJERCICIO16-EPI.pdf
EJERCICIO9-EPI.pdf
EJERCICIO-5-EPI.pdf

ejercicios

-

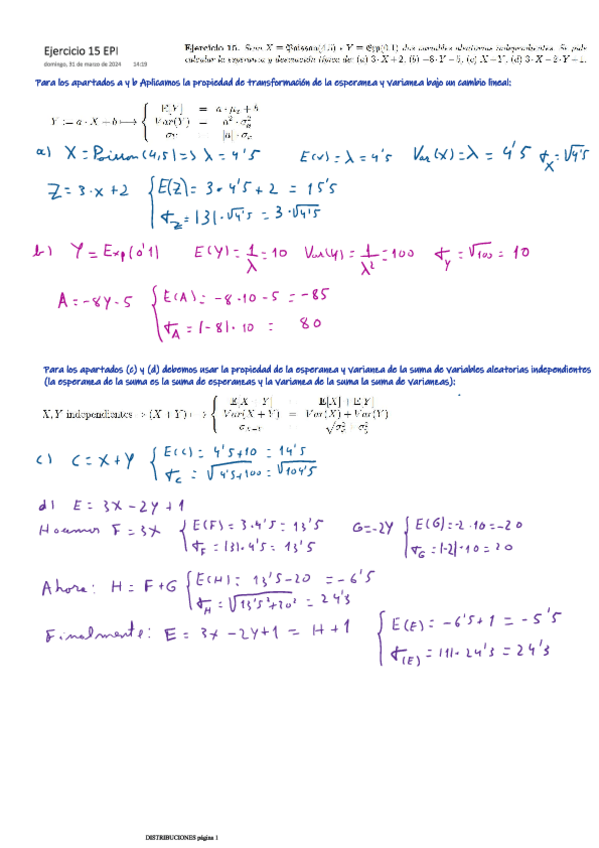
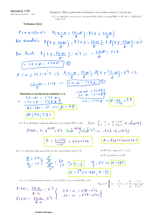
Tema 3 Distribuciones de Probabilidad ejercicios

He publicado nuevos ejercicios de 1º Probabilidad: Tema 3 Distribuciones de Probabilidad ejercicios

Probabilidad-Ejerccicios-1-y-2-Tema-3.pdf
Probabilidad-Ejercicio-3-Tema-3.pdf
Probabilidad-Ejercicio-5-Tema-3.pdf
Probabilidad-Ejercicios-6-7-Tema-3.pdf
Probabilidad-Ejercicio-15-Tema-3.pdf

He publicado nuevos ejercicios de 1º Cálculo: EJERCICIOS-DE-CLASE-EPI-606162.pdf

2 páginas