@user_2379266

23 Publicaciones

638 Interacciones

2 Seguidores

0 Siguiendo

Lista de publicaciones de user_2379266

ejercicios

-

MATD 22-23

He publicado nuevos ejercicios de 1º Matemáticas para el Diseño: MATD 22-23

MatD-Problemas-tema-1-22-23.pdf
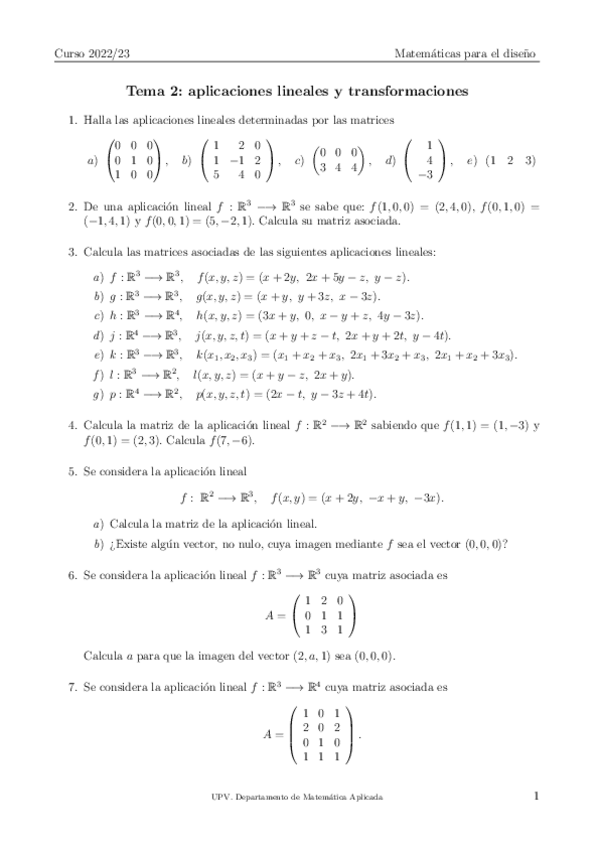
MatD-Problemas-tema-2-22-23.pdf
MatD-Problemas-tema-3-22-23.pdf
MatD-problemas-tema-4-22-23.pdf
MatD-problemas-tema-5-Curvas-22-23.pdf
MatD-problemas-tema-6-Superficies-22-23.pdf

apuntes

-

MAD

He publicado nuevos apuntes de 1º Materiales para el diseño I: MAD

Ceramicos.pdf
Teoria-completa.pdf
Conglomerantes.pdf
Petreos.pdf
Vidrios.pdf

He publicado nuevos apuntes de 1º Materiales para el diseño I: GLOSARIO-DE-CONSTRUCCION.pdf

16 páginas

He publicado nuevos examenes de 1º Matemáticas para el Diseño: MATD-2-Nivelacion.pdf

1 página

apuntes

-

HARq

He publicado nuevos apuntes de 1º historia de la arquitectura: HARq

Tema-1-Antig.pdf
Tema-2.pdf
Tema-3.pdf
Tema-4.pdf
Tema-5.pdf
Tema-6.pdf