@user_2392341

Estudios: Grado en Economía (UCM) ...Mostrar más

13 Publicaciones

461 Interacciones

0 Seguidores

0 Siguiendo

Lista de publicaciones de user_2392341

Examen resuelto de mates III de enero de 2024.

2 páginas

Resumen de los temas 5,6 y 7 de sistemas dinámicos de matemáticas III

3 páginas

Ejemplo de ejercicio largo de Mundell Fleming

2 páginas

He publicado nuevos apuntes de 2º Economía Internacional: Economia-Internacional.pdf

18 páginas

Ejemplo completo del IS-LM

2 páginas

Mecanismos de ajuste para tipo de cambio fijo y flexible.

3 páginas

Ejercicios largos resueltos de tipo de cambio flexible y fijo.

3 páginas

Ejemplos de parciales resueltos

6 páginas

Examen final 2021

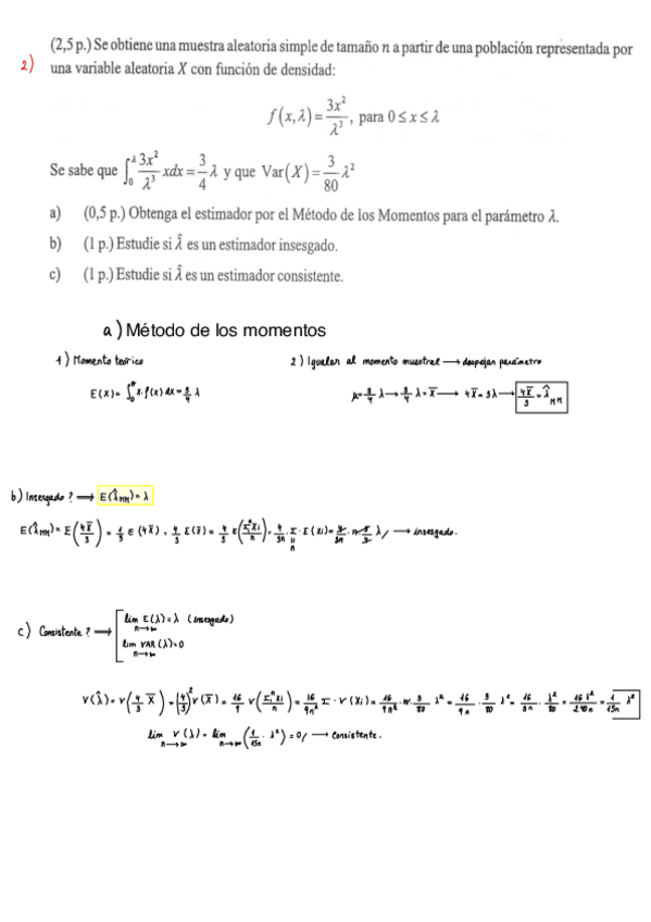
Imagen

Examen final resuelto. Enero 2024

4 páginas

Examen final resuelto enero 2023

3 páginas

Examen final resuelto

4 páginas

Examen final resuelto, enero 2024 del doblegrado

4 páginas