@user_2726491

Estudios: Licenciatura en Administración (UNLP) ...Mostrar más

Bio: Estudiante de Administracion de Empresas

172 Publicaciones

194 Interacciones

1 Seguidores

0 Siguiendo

Lista de publicaciones de user_2726491

He publicado nuevos apuntes de 1º Introducción a la Economía y Estructura Económica Argentina: SAMUELSON-Y-NORDHAUS-CAP-1.pdf

2 páginas

He publicado nuevos apuntes de 1º Introducción a la Economía y Estructura Económica Argentina: LA-ECONOMIA-COMO-CIENCIA.pdf

3 páginas

He publicado nuevos apuntes de 1º Introducción a la Economía y Estructura Económica Argentina: Documento-6.pdf

3 páginas

apuntes

-

Resoluciones

He publicado nuevos apuntes de 1º Matemática I: Resoluciones

ejercicios-resueltos-de-operacion-de-funciones.pdf
limites-resueltos-por-lopital.pdf
ejercicios-resueltos-Funcion-par-impar-inversa.pdf
desigualdades.pdf
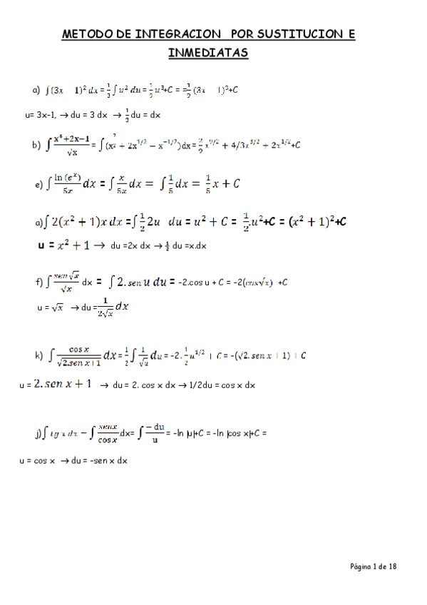
resolucion-de-integrales.pdf
ejercicios-resueltos-de-asintotas.pdf

apuntes

-

Practicas

He publicado nuevos apuntes de 1º Matemática I: Practicas

practica18resolucion.pdf
practica15-resuelta.pdf
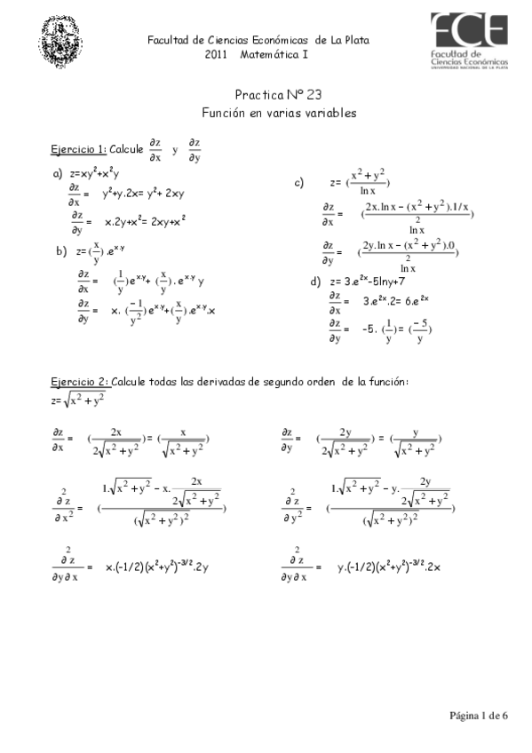
Practica-23.pdf
practica-21ejercicios-resueltos.pdf
Practica22-resolucion.pdf
practica-4-resuelta.pdf

apuntes

-

Modelos de final

He publicado nuevos apuntes de 1º Matemática I: Modelos de final

MODELO-DE-FINAL.pdf
MODELO-DE-FINAL-2.pdf

apuntes

-

Resoluciones - modelos de parcial

He publicado nuevos apuntes de 1º Matemática I: Resoluciones - modelos de parcial

RESOLUCION-DEL-recuperatorio-PARCIAL.pdf
resolucion-segundo-parcial-2.pdf
Resolucion-segundo-parcial.pdf
Resolucion-Primer-Parcial-4.pdf
Resolucion-Recuperatorio-Primer-parcial.pdf
Resolucion-Primer-parcial-2.pdf

apuntes

-

PRACTICAS

He publicado nuevos apuntes de 1º Matemática I: PRACTICAS

PRACTICA-2-RECTAS-Y-DISTANCIAS.pdf
PRACTICA-5-FUNCIONES-EXPONENCIAL-Y-LOGARITMO.pdf
PRACTICA-1-NUMEROS-REALES.pdf
PRACTICA-6-NOCIONES-DE-TRIGONOMETRIA.pdf
PRACTICA-4-EXPRESIONES-ALGEBRAICAS.pdf
PRACTICA-3-SISTEMAS-DE-ECUACIONES-LINEALES-.pdf

He publicado nuevos apuntes de 1º Matemática I: Historia-de-la-regla-de-l-Hospital.pdf

6 páginas

apuntes

-

APUNTES

He publicado nuevos apuntes de 1º Matemática I: APUNTES

propiedades-de-SENO-COSENO-TANGENTE.pdf
Funciones-en-dos-variables.pdf
DERIVADAS-PARCIALES.pdf
TABLA-DE-DERIVADAS.pdf
DERIVADAS.pdf
Demostraciones.pdf