@user_2745760

8 Publicaciones

352 Interacciones

0 Seguidores

0 Siguiendo

Lista de publicaciones de user_2745760

He publicado nuevos apuntes de 2º Direcció Financera: TEMA-3-2023.pdf

1 página

He publicado nuevos apuntes de 2º Recursos Humans: Aspectes Economicolegals: Tema-1-234-2023.pdf

30 páginas

He publicado nuevos apuntes de 2º Direcció Financera: TEMA-2-2023.pdf

6 páginas

He publicado nuevos apuntes de 2º Recursos Humans: Aspectes Economicolegals: tema-1-2023.pdf

5 páginas

He publicado nuevos apuntes de 2º Operacions Aeroportuàries II: apuntes-completos.pdf

66 páginas

He publicado nuevos apuntes de 1º Dret Empresarial: Apunts-dret.pdf

12 páginas

He publicado nuevos apuntes de 1º Fonaments d'Informàtica: Apunts-tots-els-temes.pdf

13 páginas

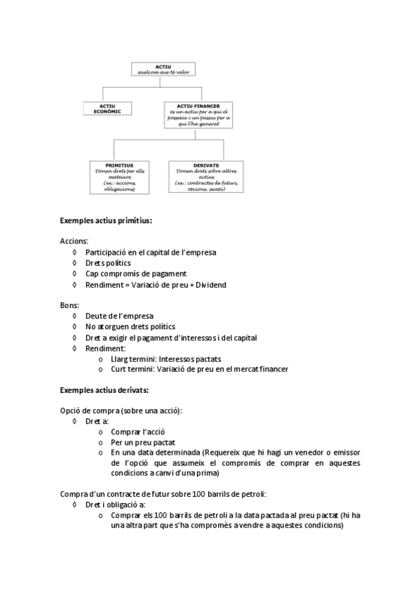
He publicado nuevos apuntes de 2º Direcció Financera: TEMA-1-TIPUS-DACTIUS-2023.pdf

10 páginas