@user_2808759

1 Publicaciones

448 Interacciones

0 Seguidores

0 Siguiendo

Lista de publicaciones de user_2808759

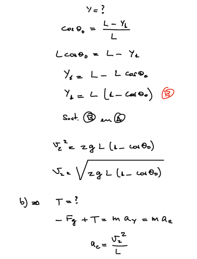
He publicado nuevos apuntes de 1º Física I: prac3soluciones.pdf

11 páginas