@user_2820955

16 Publicaciones

247 Interacciones

1 Seguidores

2 Siguiendo

Lista de publicaciones de user_2820955

He publicado nuevos examenes de 1º Anatomía: EXAMEN parcial 22/23.pdf

3 páginas

He publicado nuevos apuntes de 1º Fisiología: DIFERENCIAS-MUSCULOS.pdf

1 página

ejercicios

-

anatomia

láminas completas

Art-y-venas.pdf
LAMINAS-1.pdf
PRACTICA-2-2.pdf
PRACTICA-3.pdf

He publicado nuevos trabajos de 1º Biología Celular y Tisular: PIEL-DE-MARIPOSA-EB.pdf

11 páginas

He publicado nuevos apuntes de 1º Bioestadística: Esquema-Resumen-GLOBAL.pdf

4 páginas

He publicado nuevos apuntes de 1º Bioestadística: Esquema-pruebas.pdf

1 página

He publicado nuevos apuntes de 1º Bioestadística: AE2.-Estadistica-Descriptiva-Bidimensional.-Resolucion.pdf

7 páginas

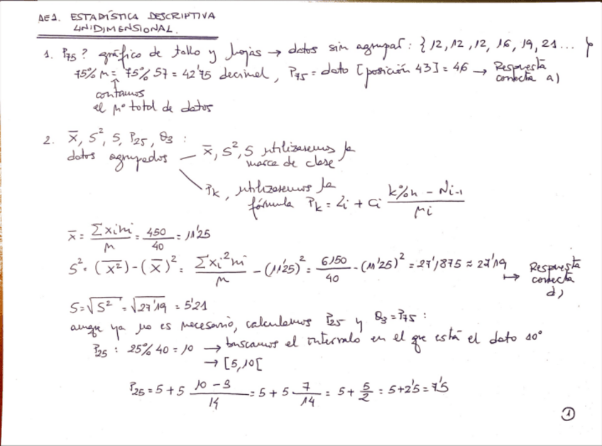
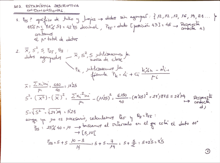
He publicado nuevos apuntes de 1º Bioestadística: AE1.-Estadistica-Descriptiva-Unidimensional.-Resolucion.pdf

11 páginas