@user_2856762

Estudios: Grado en Educación Infantil (UAN) ...Mostrar más

134 Publicaciones

288 Interacciones

1 Seguidores

1 Siguiendo

Lista de publicaciones de user_2856762

apuntes

-

3.Serious fun

He publicado nuevos apuntes de 4º Rhythm, play and games: 3.Serious fun

9-Games-and-songs-Games-and-creating-games.pdf
8-Games-and-songs-session-Music-and-Movement-teaching-songs--singing.pdf
7-Serious-Fun-Guided-play-Play-based-and-Inquiry-based-learning-K-12.pdf
7-Games-and-songs-session-Serious-Fun.pdf
Discipline.pdf
11-Games-and-songs-review-IBL2.pdf

apuntes

-

2.Big Body Play

He publicado nuevos apuntes de 4º Rhythm, play and games: 2.Big Body Play

4-Games-and-songs-session-Big-body-play.pdf
5-Games-and-songs-session-9-Big-Body-Play-collaborative-groups-with-content.pdf
6-Games-and-songs-session-Big-body-play.pdf
2-Rhythm-play-and-games-session-Early-childhood.pdf
3-Games-and-songs-session-Big-body-play.pdf

He publicado nuevos apuntes de 2º Historia de España: Siglas-Historia-Rosa-Alonso-Villalobos-Chamorro.pdf

2 páginas

He publicado nuevos apuntes de 2º Historia de España: Linea-del-tiempo-1788-1833.pdf

1 página

He publicado nuevos apuntes de 2º Historia de España: Linea-del-tiempo-1700-1788.pdf

2 páginas

He publicado nuevos apuntes de 2º Historia de España: Linea-del-tiempo-1474-a-1700.pdf

2 páginas

He publicado nuevos apuntes de 2º Historia de España: HISTORIA-DE-ESPANA.pdf

7 páginas

He publicado nuevos apuntes de 2º Historia de España: DICCIONARIO-TERMINOS-EBAU.pdf

16 páginas

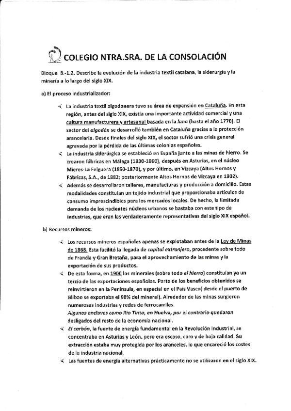
He publicado nuevos apuntes de 2º Historia de España: bloque8.3.pdf

1 página

He publicado nuevos apuntes de 2º Historia de España: Bloque8.2.pdf

2 páginas

He publicado nuevos apuntes de 2º Historia de España: APUNTES-1.2-HISTORIA.pdf

2 páginas

He publicado nuevos apuntes de 2º Historia de España: APUNTES-1.1-HISTORIA.pdf

2 páginas

He publicado nuevos apuntes de 2º Historia de España: 2019011500001.pdf

1 página

He publicado nuevos apuntes de 2º Historia de España: 2019010800001.pdf

1 página

He publicado nuevos apuntes de 2º Historia de España: PALEOLITICO-y-neolitico.pdf

3 páginas

He publicado nuevos apuntes de 2º Historia de España: LINEAS-DEL-TIEMPO-BLOQUE-5-Y-6.pdf

3 páginas

He publicado nuevos apuntes de 2º Historia de España: Linea-del-tiempo-de-250-a.C.-a-711.pdf

1 página

He publicado nuevos apuntes de 2º Historia de España: Linea-del-tiempo-1902-a-1931.pdf

1 página

He publicado nuevos apuntes de 2º Historia de España: Linea-del-tiempo-1833-1874.pdf

1 página

He publicado nuevos apuntes de 2º Acción tutorial y orientación: IMG2147.pdf

1 página