@user_2877098

25 Publicaciones

1.11k Interacciones

1 Seguidores

0 Siguiendo

Lista de publicaciones de user_2877098

APUNTES COMPLETOS

24 páginas

APUNTES COMPLETOS

44 páginas

He publicado nuevos apuntes de 4º Normalización Contable: APUNTES-COMPLETOS.pdf

34 páginas

APUNTES COMPLETOS T1 - T8 - ESTHER VILLAJOS

43 páginas

He publicado nuevos apuntes de 2º Matemática Financiera: ESQUEMES-T1-T10--Demostracions.pdf

10 páginas

He publicado nuevos apuntes de 2º Teoria de la Inversion: TIPO-TEST-RESUELTO-T5-T7.pdf

9 páginas

He publicado nuevos examenes de 2º Teoria de la Inversion: Examen-Juny-2023-HECHO.pdf

6 páginas

He publicado nuevos apuntes de 2º Marketing: T1-T7 RESUMENES COMPLETOS.pdf

7 páginas

He publicado nuevos apuntes de 2º Introduccion a la Fiscalidad: T1-T13.pdf

42 páginas

He publicado nuevos apuntes de 2º Macroeconomía: RESUMS1.pdf

34 páginas

He publicado nuevos apuntes de 2º Economía de la Unión Europea y de las instituciones internacionales: RESUMS-COMPLETS.pdf

45 páginas

He publicado nuevos apuntes de 2º Economía de la Unión Europea y de las instituciones internacionales: RESUMS.pdf

17 páginas

He publicado nuevos apuntes de 2º Macroeconomía: RESUMS-TEMA-1-3.pdf

10 páginas

He publicado nuevos examenes de 1º Matemáticas II: Examen teoria 4 MATES II.pdf

7 páginas

He publicado nuevos examenes de 1º Matemáticas II: Examen teoria 3 MATES II.pdf

7 páginas

He publicado nuevos examenes de 1º Matemáticas II: Examen teoria 1 MATES II.pdf

10 páginas

He publicado nuevos examenes de 1º Matemáticas II: Examen teoria 2 MATES II.pdf

8 páginas

He publicado nuevos practicas de 1º Derecho Mercantil I: PRACTICAS-DERECHOAPUNTES-PARA-ESTUDIANTES.pdf

15 páginas

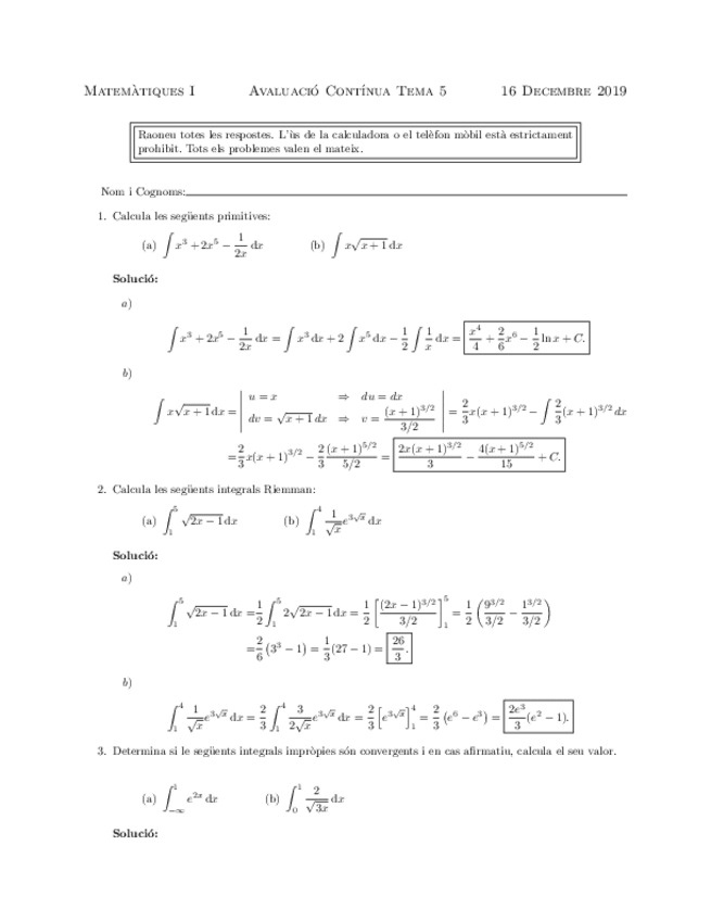
examenes

-

EXAMENES RESUELTOS MATEMÁTICAS I

Está primero el pdf del examen y luego se encuéntra la solución

AC-2019-2020-completa.pdf

He publicado nuevos apuntes de 1º Contabilidad Financiera: TEMA-4-9-COMPTABILITAT-RESUMS.pdf

19 páginas