@user_2931285

5 Publicaciones

39 Interacciones

0 Seguidores

0 Siguiendo

Lista de publicaciones de user_2931285

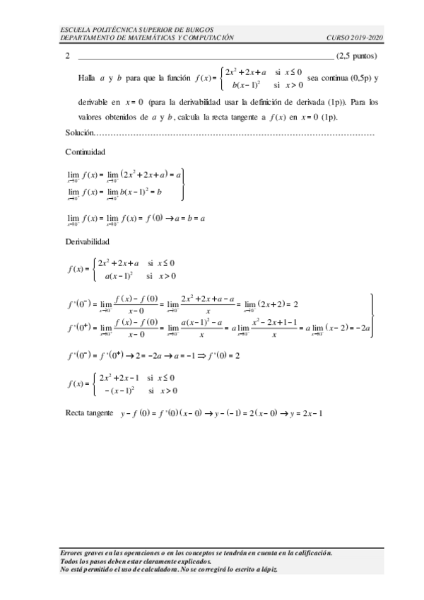
He publicado nuevos examenes de 1º Cálculo: Solucion1aConvocatoria.pdf

5 páginas

He publicado nuevos apuntes de 1º Ciencia de Materiales, Estructura y Propiedades: teoria-materiales-T23.pdf

3 páginas

He publicado nuevos apuntes de 1º Ciencia de Materiales, Estructura y Propiedades: teoria-materiales-T7.pdf

3 páginas

He publicado nuevos apuntes de 1º Ciencia de Materiales, Estructura y Propiedades: teoria-materiales-T56.pdf

5 páginas

He publicado nuevos apuntes de 1º Ciencia de Materiales, Estructura y Propiedades: teoria-materiales-T4.pdf

2 páginas