@user_3045833

Estudios: Grado en Bioquímica (UMA) ...Mostrar más

19 Publicaciones

687 Interacciones

1 Seguidores

1 Siguiendo

Lista de publicaciones de user_3045833

He publicado nuevos apuntes de 3º Métodos Instrumentales Cuantitativos: Ejercicios-qPCR.pdf

4 páginas

He publicado nuevos examenes de 2º Regulación del Metabolismo: Primera-ordinaria-2024.pdf

3 páginas

He publicado nuevos apuntes de 2º Regulación del Metabolismo: Oxidacion-Palmitato-Rendimiento-Energetico.pdf

1 página

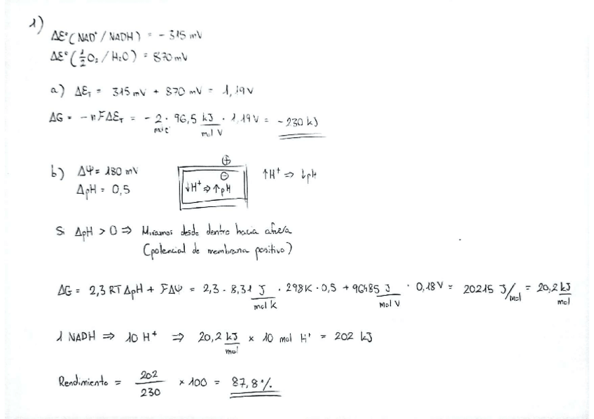
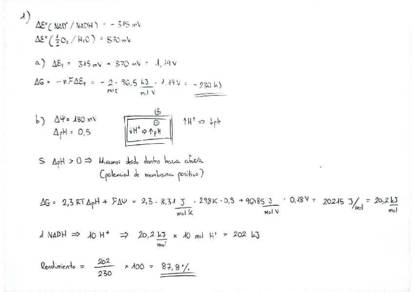
He publicado nuevos apuntes de 2º Regulación del Metabolismo: Problemas-corregidos-Potencial-de-reduccion-membranas.pdf

5 páginas

He publicado nuevos apuntes de 2º Regulación del Metabolismo: Problemas-Potencial-de-Reduccion-Bloque-III.pdf

1 página

He publicado nuevos apuntes de 2º Estructura de Macromoléculas: Degradacion-de-Edman-Mecanismo.pdf

1 página

apuntes

-

Series problemas resueltas 2022/23

He publicado nuevos apuntes de 1º Fundamentos de Genética: Series problemas resueltas 2022/23

Serie-2-Resuelta.pdf
Serie-6-Resuelta.pdf
Serie-1-Resuelta.pdf
Serie-3-Resuelta.pdf
Serie-4-Resuelta.pdf
Serie-7-Resuelta.pdf

He publicado nuevos apuntes de 1º Química General: Seminario-4-202223-Resuelto.pdf

9 páginas

He publicado nuevos apuntes de 1º Química General: Seminario-5-202223-Resuelto.pdf

13 páginas

He publicado nuevos apuntes de 1º Química General: Seminario-3-202223-Resuelto.pdf

14 páginas

He publicado nuevos apuntes de 1º Química General: Seminario-1-202223-Resuelto.pdf

8 páginas

He publicado nuevos apuntes de 2º Inmunología: Preguntas-de-desarrollo-2024.pdf

1 página

He publicado nuevos apuntes de 2º Inmunología: Algunos-examenes-sin-hacer-respuestas-en-blanco.pdf

12 páginas