@user_3053293

97 Publicaciones

699 Interacciones

0 Seguidores

0 Siguiendo

Lista de publicaciones de user_3053293

ejercicios

-

Ejercicios hojas B resueltos

He publicado nuevos ejercicios de 2º Ecuaciones Diferenciales: Ejercicios hojas B resueltos

Soluciones-hoja-5-B.pdf
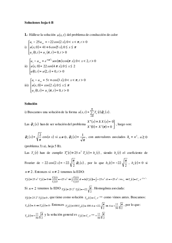
Soluciones-hoja-6-B.pdf
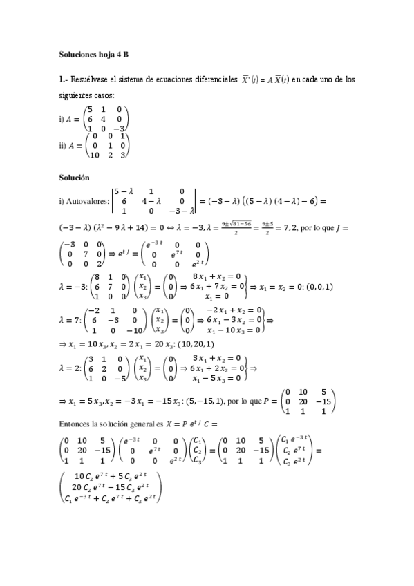
Soluciones-hoja-4-B.pdf
Soluciones-hoja-3-B.pdf
Soluciones-hoja-2-B.pdf
Soluciones-hoja-1-B.pdf

ejercicios

-

Ejercicios resueltos

Ejercicios resueltos de todos los temas con sus enunciados

Ejercicios-CMTema-7enunciados.pdf
Ejercicios-CMTema-5enunciados.pdf
Ejercicios-CMTema-4-Difusionenunciados.pdf
Ejercicios-CMTema-3enunciados.pdf
Ejercicios-CMTema-2enunciados.pdf
Ejercicios-CMTema-1enunciados.pdf

ejercicios

-

Hojas B

He publicado nuevos ejercicios de 1º Cálculo: Hojas B

Hoja-3-B.pdf
Hoja-7B.pdf
Hoja-11B-integrales-triples.pdf
Hoja-11B-integrales-dobles.pdf
Hoja-12B.pdf
Hoja-2B.pdf

apuntes

-

Resumenes

He publicado nuevos apuntes de 1º Álgebra y Geometría: Resumenes

resumen-espacios-vectoriales.pdf
Resumen-aplicaciones-lineales.pdf
Resumen-espacio-euclideo.pdf
Resumen-autovalores-autovectores-y-forma-canonica-de-Jordan.pdf

apuntes

-

2º cuatri (Academia)

Apuntes y ejercicios de electroestáticas, magnetismo e inducción

Campos-electricos.pdf
Conductores.pdf
Enunciados-problemas-electroestatica.pdf
Enunciados-problemas-induccion.pdf
Enunciados-problemas-magnetismo.pdf
Induccion.pdf