@user_3068324

14 Publicaciones

585 Interacciones

1 Seguidores

0 Siguiendo

Lista de publicaciones de user_3068324

apuntes

-

Apunts àlgebra

He publicado nuevos apuntes de 1º Álgebra Lineal: Apunts àlgebra

Reduccio-endomorfisme.pdf
Matrices.pdf
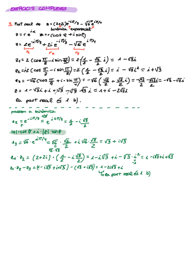
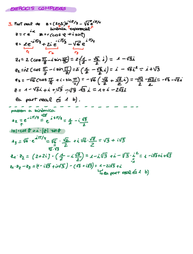
Complexes.pdf
Polinomis.pdf
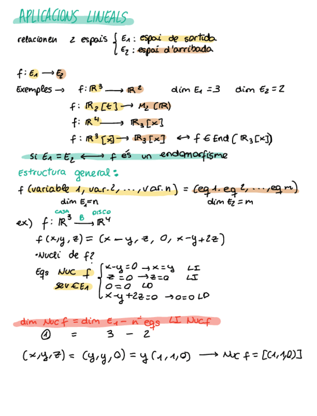
Aplicacions-lineals.pdf
Sistemes-dinamics.pdf

He publicado nuevos ejercicios de 1º Informática: info-2.pdf

14 páginas

He publicado nuevos apuntes de 1º Càlcul I: Formulari-calcul.pdf

2 páginas

He publicado nuevos apuntes de 1º Càlcul II: Tema-1.pdf

40 páginas

He publicado nuevos ejercicios de 1º Informática: info.pdf

17 páginas

He publicado nuevos apuntes de 1º Geometría: formulario.pdf

2 páginas

He publicado nuevos apuntes de 1º Càlcul II: Final-teoria.pdf

40 páginas