@user_3090567

66 Publicaciones

1.17k Interacciones

4 Seguidores

0 Siguiendo

Lista de publicaciones de user_3090567

He publicado nuevos apuntes de 3º Mecánica Cuántica: Interpretacion-fisica-chapter-V.pdf

5 páginas

He publicado nuevos apuntes de 3º Mecánica Cuántica: Fundamentos-fisicos-chapter-III.pdf

6 páginas

He publicado nuevos examenes de 2º Termodinámica: Test224-25RES.pdf

2 páginas

He publicado nuevos examenes de 2º Termodinámica: Examen2425RES.pdf

8 páginas

He publicado nuevos examenes de 2º Termodinámica: Examen2324solucion.pdf

9 páginas

He publicado nuevos apuntes de 2º Señales, sistemas y circuitos: SYSCexamen19dic2023.pdf

5 páginas

He publicado nuevos apuntes de 2º Señales, sistemas y circuitos: Examenresueltossyc20242025parcial2.pdf

10 páginas

He publicado nuevos apuntes de 2º Señales, sistemas y circuitos: Examenresueltossyc20242025parcial1.pdf

12 páginas

He publicado nuevos apuntes de 2º Señales, sistemas y circuitos: Examenprueba3ssycI.pdf

3 páginas

He publicado nuevos apuntes de 2º Señales, sistemas y circuitos: Ensayoexamen19dic2022soloenunciado.pdf

1 página

He publicado nuevos apuntes de 2º Señales, sistemas y circuitos: Convocatoriaexamenssycrecu.pdf

1 página

He publicado nuevos apuntes de 2º Señales, sistemas y circuitos: 2310-Parcial1-v3.pdf

13 páginas

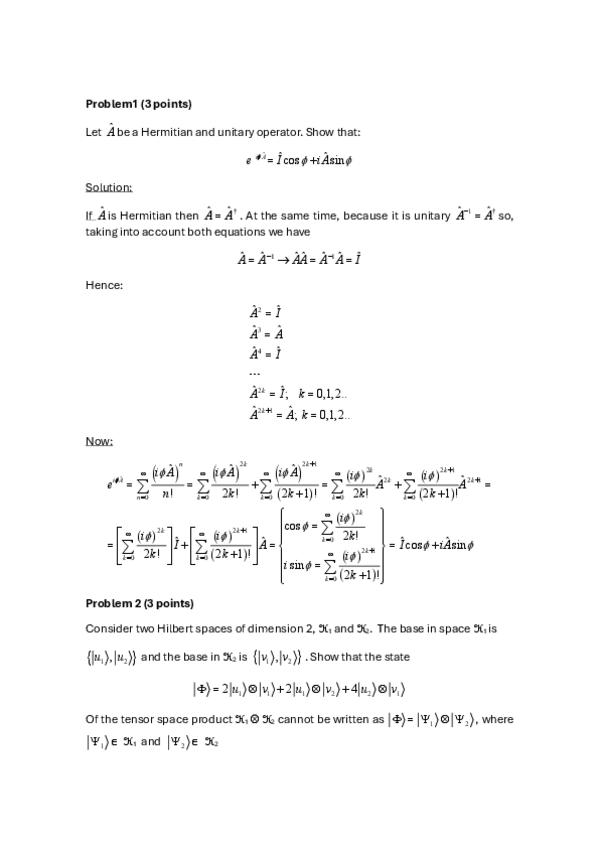
He publicado nuevos examenes de 3º Mecánica Cuántica: primer-parcial-2024.pdf

5 páginas

tema 1

4 páginas

He publicado nuevos examenes de 2º Termodinámica: Test123-24RES.pdf

2 páginas

He publicado nuevos examenes de 2º Termodinámica: Test124-25RES.pdf

2 páginas

He publicado nuevos apuntes de 2º Física Estadística: FORMULARIO-FISICA-ESTADISTICA-SEGUNDO-PARCIAL.pdf

5 páginas

He publicado nuevos examenes de 2º Física Estadística: Recuperacion-segundo-parcial-2024.pdf

3 páginas

He publicado nuevos examenes de 2º Física Estadística: Recuperacion-primer-parcial-2024.pdf

2 páginas

He publicado nuevos examenes de 2º Física Estadística: Segundo-parcial-fest-2025.pdf

4 páginas