@user_3091331

70 Publicaciones

2.05k Interacciones

1 Seguidores

0 Siguiendo

Lista de publicaciones de user_3091331

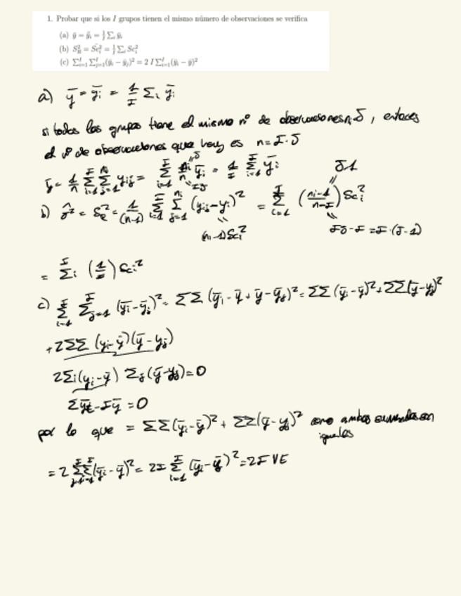
He publicado nuevos practicas de 2º Análisis Multivariante: Practicas.pdf

9 páginas

He publicado nuevos ejercicios de 2º Muestreo Estadistico: Ejercicios-estimadores-indirectos.pdf

8 páginas

He publicado nuevos ejercicios de 2º Muestreo Estadistico: Ejercicios-MS.pdf

5 páginas

He publicado nuevos ejercicios de 2º Muestreo Estadistico: Ejercicios-MAE.pdf

6 páginas

He publicado nuevos ejercicios de 2º Muestreo Estadistico: Ejercicios-MAS.pdf

5 páginas

He publicado nuevos ejercicios de 2º Muestreo Estadistico: Ejercicios-MpC.pdf

5 páginas

He publicado nuevos apuntes de 2º Muestreo Estadistico: preguntas-desarrolloexfinalME23-24.pdf

13 páginas

He publicado nuevos apuntes de 1º Cálculo Numérico: Teoria-para-Examen.pdf

9 páginas

He publicado nuevos ejercicios de 2º Investigación Operativa II: Ejercicios-IO-II.pdf

18 páginas

He publicado nuevos apuntes de 2º Investigación Operativa II: Toda-la-teoria-para-examen-Io-II.pdf

27 páginas

He publicado nuevos examenes de 2º Modelos Lineales: Ejercicios-y-examenes.pdf

39 páginas

He publicado nuevos apuntes de 2º Modelos Lineales: MLDemostraciones.pdf

16 páginas

He publicado nuevos ejercicios de 2º Procesos Estocásticos en Tiempo Discreto: Todos-los-problemas-cadenas-de-Markov.pdf

21 páginas

He publicado nuevos ejercicios de 2º Distribución Multidimensionales: Ejercicios-Multinomial.pdf

6 páginas

He publicado nuevos ejercicios de 2º Diseño de Bases de Datos: Algunos-ej-resueltos-tema2.pdf

8 páginas

He publicado nuevos apuntes de 2º Distribución Multidimensionales: Apuntes-para-examen-final-DM.pdf

15 páginas

He publicado nuevos apuntes de 2º Distribución Multidimensionales: Tema-5-DM.pdf

2 páginas

He publicado nuevos apuntes de 2º Distribución Multidimensionales: Tema-4-DM.pdf

3 páginas

He publicado nuevos apuntes de 2º Distribución Multidimensionales: Tema-3-DM.pdf

2 páginas

He publicado nuevos apuntes de 2º Distribución Multidimensionales: Tema-2.pdf

4 páginas