@user_3142541

313 Publicaciones

5.52k Interacciones

5 Seguidores

0 Siguiendo

Lista de publicaciones de user_3142541

He publicado nuevos apuntes de 3º Proyectos Tecnicos I: Peritacion-muro-superior.pdf

3 páginas

He publicado nuevos apuntes de 3º Proyectos Tecnicos I: Dosificacion-morteros.pdf

1 página

He publicado nuevos apuntes de 3º Proyectos Tecnicos I: ApuntesFabricaLadrillo.pdf

30 páginas

He publicado nuevos apuntes de 3º Proyectos Tecnicos I: 2024-Trabajo4-FabricasLadrillo-Enunciado.pdf

1 página

He publicado nuevos apuntes de 3º Prevención y Seguridad I: Apuntes-1o-2o.pdf

47 páginas

He publicado nuevos apuntes de 3º Prevención y Seguridad I: solucion-ejericio-examen-organigrama.docx

word

He publicado nuevos apuntes de 3º Planificación y Programación de Obras I: SOLUCION-EJERCICIO-No3-ROY.pdf

4 páginas

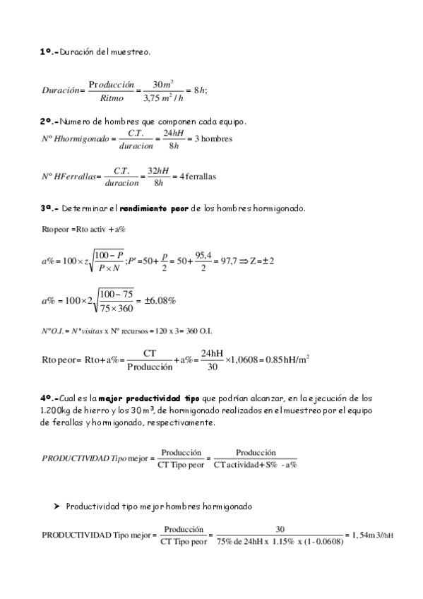
He publicado nuevos apuntes de 3º Planificación y Programación de Obras I: Muestreo-de-Trabajo-2.pdf

30 páginas

He publicado nuevos apuntes de 3º Planificación y Programación de Obras I: Formulas-de-muestreo-de-trabajo.pdf

7 páginas

He publicado nuevos apuntes de 3º Planificación y Programación de Obras I: Muestreo-de-trabajo-1.pdf

23 páginas

He publicado nuevos apuntes de 3º Planificación y Programación de Obras I: 6.-ROY.15-16.pdf

13 páginas

He publicado nuevos apuntes de 3º Planificación y Programación de Obras I: Solucion-Precedencias-Ejercicio-20.pdf

1 página

He publicado nuevos apuntes de 3º Planificación y Programación de Obras I: Precedencias.-Ejercicio-20.pdf

1 página

He publicado nuevos apuntes de 3º Planificación y Programación de Obras I: EJERCICIO-3-PRECEDENCIAS.pdf

2 páginas

He publicado nuevos apuntes de 3º Planificación y Programación de Obras I: EJercicios-PRECEDENCIAS2.pdf

2 páginas

He publicado nuevos apuntes de 3º Planificación y Programación de Obras I: EJERCICIO-2-PRECEDENCIAS.pdf

2 páginas

He publicado nuevos apuntes de 3º Planificación y Programación de Obras I: 10.-PRECEDENCIAS-2a.pdf

11 páginas

He publicado nuevos apuntes de 3º Planificación y Programación de Obras I: EJERCICIO-1-PRECEDENCIAS-1.pdf

2 páginas

He publicado nuevos apuntes de 3º Planificación y Programación de Obras I: 10.-PRECEDENCIAS-1a.pdf

19 páginas

He publicado nuevos apuntes de 3º Planificación y Programación de Obras I: PROBLEMA-No3.-O.I..pdf

3 páginas