@user_3160164

1.82 € • 1.64k EXP

25 Publicaciones

239 Interacciones

2 Seguidores

0 Siguiendo

Lista de publicaciones de user_3160164

He publicado nuevos apuntes de 5º Metrología y Calidad: Temas-0-8-Resumen-completo.pdf

34 páginas

He publicado nuevos examenes de 2º Termotecnia: EXAMENES-RESUELTOS-2020-2023--formulario.pdf

24 páginas

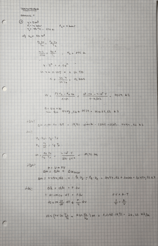
ejercicios

-

Relaciones resueltas (1-7)

He publicado nuevos ejercicios de 2º Termotecnia: Relaciones resueltas (1-7)

Relacion-1-resuelta.pdf
Relacion-2-resuelta.pdf
Relacion-2.pdf
Relacion-3-resuelta.pdf
Relacion-7-resuelta.pdf
Relacion-6-resuelta.pdf

ejercicios

-

EJERCICIOS APP FIE

He publicado nuevos ejercicios de 2º Fundamentos de Ingeniería Eléctrica: EJERCICIOS APP FIE

RESUMEN--EJERCICIOS.pdf
EJERCICIOS-APP-FIE-continua-TEMAS-5-6.pdf
EJERCICIOS-APP-FIE-trifasica-TEMAS-9-10.pdf
EJERCICIOS-APP-FIE-continua-TEMAS-1-4.pdf
EJERCICIOS-APP-FIE-alterna-TEMAS-7-8.pdf

apuntes

-

Gestión de empresas

Temas 1 al 4

TEMA-1.pdf
TEMA-2.pdf
TEMA-3.pdf
TEMA-4.pdf

He publicado nuevos apuntes de 1º Expresión Gráfica en la Ingeniería: Geometria.pdf

8 páginas

He publicado nuevos apuntes de 1º Expresión Gráfica en la Ingeniería: Secciones-y-desarrollo-cilindro-y-prisma.pdf

3 páginas

He publicado nuevos apuntes de 1º Expresión Gráfica en la Ingeniería: Axonometrico-y-Caballera.pdf

11 páginas

He publicado nuevos apuntes de 1º Expresión Gráfica en la Ingeniería: Fundamentos-Diedrico.pdf

10 páginas

He publicado nuevos apuntes de 1º Expresión Gráfica en la Ingeniería: Planos-acotados1.pdf

5 páginas

He publicado nuevos examenes de 1º Física 1: Ejercicios-examen-y-formulario.pdf

5 páginas

He publicado nuevos apuntes de 1º Física 1: FisicaT2.pdf

5 páginas

He publicado nuevos apuntes de 1º Física 1: Fisica-T678-y-9-teoria-examen.pdf

11 páginas

He publicado nuevos apuntes de 1º Física 1: Fisica-T1.pdf

7 páginas

He publicado nuevos apuntes de 1º Física 1: Fisica-T34-y-5.pdf

10 páginas