@user_3195008

1.74 € • 1.91k EXP

45 Publicaciones

269 Interacciones

1 Seguidores

0 Siguiendo

Lista de publicaciones de user_3195008

examenes

-

Examenes Microeconomics

He publicado nuevos examenes de 2º Microeconomía II: Examenes Microeconomics

Final-exam-June-42024-solved.pdf
QUIZ-2-tipo-test.pdf
Quiz-1-Tipo-test.pdf
Partial-exam-2-with-solutions.pdf
PartialEXAM12024-with-solutions.pdf

apuntes

-

Tema 1, 2 y 3

He publicado nuevos apuntes de 2º Derecho Internacional Público I: Tema 1, 2 y 3

Apuntes.pdf
Tema-3.2-y-4.2.pdf
Tema-4.1.pdf

apuntes

-

examen final micro

He publicado nuevos apuntes de 1º Microeconomía I: examen final micro

examen-final.pdf
Midterm-2.-tema-5678.pdf
midterm-solution-corregido.pdf

ejercicios

-

Test de todas las unidades con solucion

He publicado nuevos ejercicios de 1º Macroeconomía I: Test de todas las unidades con solucion

testgrowthrates.pdf
testbusinesscycle.pdf
testinflation.pdf
testlabourmarket.pdf
testGDP.pdf
testlongrun.pdf

examenes

-

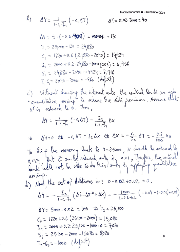
2º Examen parcial 23-24

He publicado nuevos examenes de 2º Macroeconomía II: 2º Examen parcial 23-24

2o-examen-parcial-soluciones-parte-2.pdf
2o-examen-parcial-soluciones-parte-3.pdf
2o-examen-parcial-soluciones-parte-4.pdf
2o-examen-parcial-soluciones-parte-1.pdf
Parte-test-del-parcial-con-soluciones.pdf

examenes

-

1º parcial 23-24 con soluciones

He publicado nuevos examenes de 2º Macroeconomía II: 1º parcial 23-24 con soluciones

First-partial-examoctober2023with-sol.pdf

ejercicios

-

Ejercicios test con soluciones

He publicado nuevos ejercicios de 2º Macroeconomía II: Ejercicios test con soluciones

ExercisesChapter2-corregidos.pdf
ExercisesChapter2sin-sol.pdf
ExercisesChapter6-y-7-soluciones.pdf
ExercisesChapter67sin-sol.pdf