@user_3203892

30 Publicaciones

311 Interacciones

0 Seguidores

0 Siguiendo

Lista de publicaciones de user_3203892

He publicado nuevos apuntes de 2º Ecuaciones Diferenciales Ordinarias: teoria-EDO.pdf

68 páginas

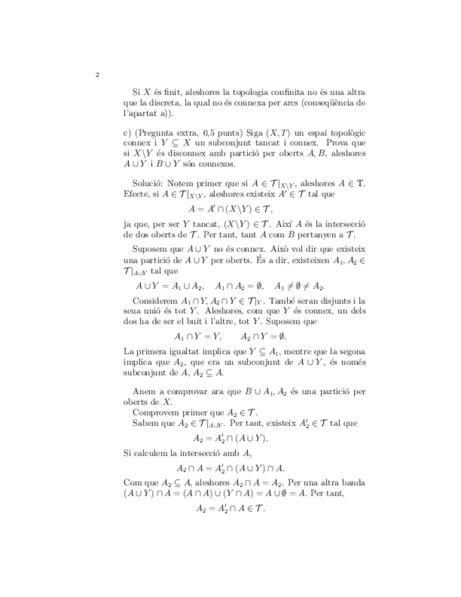
He publicado nuevos apuntes de 2º Topología: Demostracions-importants-1r-i-2n-quatri.pdf

4 páginas

He publicado nuevos apuntes de 2º Topología: practiques-resumen.pdf

Miniatura no disponible
2 páginas

productives, topològiques i hereditàries

5 páginas

practicas

-

pràctiques i coses a tindre en compte

He publicado nuevos practicas de 2º Programación Matemática: pràctiques i coses a tindre en compte

Miniatura no disponible
resumenet.pdf
practiques-desordenades.pdf

He publicado nuevos apuntes de 2º Programación Matemática: Teoria-PRM.pdf

36 páginas

He publicado nuevos apuntes de 3º Modelización Matemática: practica7.nb

Miniatura no disponible

He publicado nuevos apuntes de 3º Modelización Matemática: practica-8.nb

Miniatura no disponible

He publicado nuevos apuntes de 3º Modelización Matemática: practica6.nb

Miniatura no disponible

He publicado nuevos apuntes de 3º Modelización Matemática: exercicis-estudiar-modmat-examens.nb

Miniatura no disponible

He publicado nuevos apuntes de 3º Modelización Matemática: practica5.nb

Miniatura no disponible

examenes

-

examenes

He publicado nuevos examenes de 3º Modelización Matemática: examenes

Miniatura no disponible
examen2025.nb
Miniatura no disponible
Examen2024.nb
Miniatura no disponible
examen20242n.nb
Miniatura no disponible
examengener2022.nb

He publicado nuevos apuntes de 2º Programación Matemática: programacio-examens.pdf

19 páginas

examenes

-

PM_24_25 (4)

He publicado nuevos examenes de 2º Programación Matemática: PM_24_25 (4)

PM2425-4.pdf
PM2425-5.pdf

He publicado nuevos apuntes de 1º Análisis Matemático I: DEMOS 2N QUATRI IMPORTANTS.pdf

8 páginas

He publicado nuevos apuntes de 1º Análisis Matemático I: ESQUEMA PRACTIQUES 2N QUATRI.pdf

Miniatura no disponible
1 página

He publicado nuevos apuntes de 2º Ecuaciones Diferenciales Ordinarias: parcial2024.pdf

3 páginas

He publicado nuevos apuntes de 2º Ecuaciones Diferenciales Ordinarias: practica1ejemplo.pdf

3 páginas

He publicado nuevos examenes de 2º Ecuaciones Diferenciales Ordinarias: parcial2025.pdf

3 páginas

He publicado nuevos apuntes de 2º Métodos Numéricos para el Álgebra Lineal: controlteoriasol.pdf

7 páginas