@user_3214916
Estudios: Grado en Ingeniería Informática (UJAEN)
1 Publicaciones
173 Interacciones
0 Seguidores
0 Siguiendo
Lista de publicaciones de user_3214916
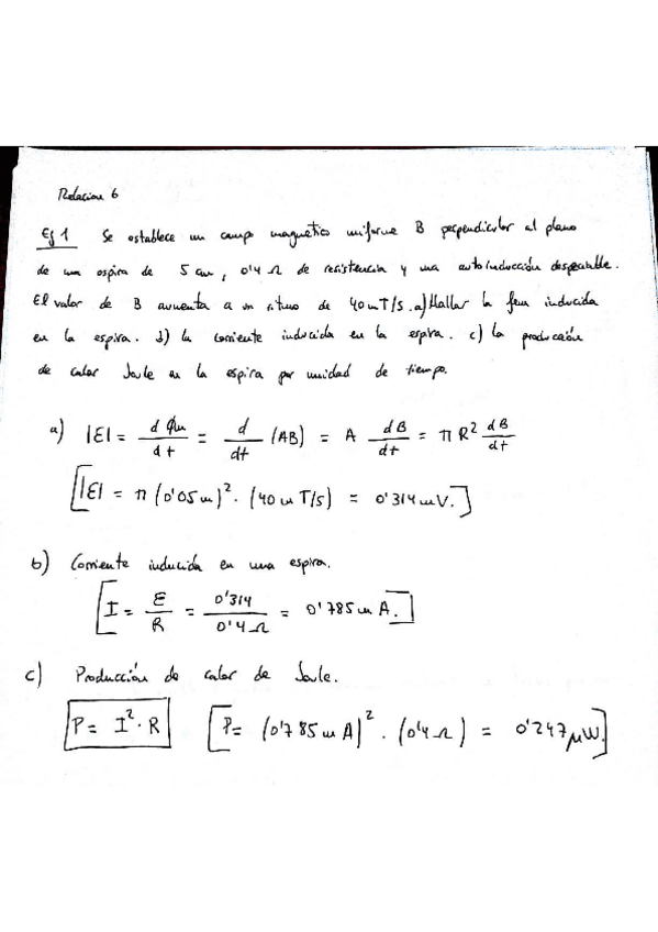
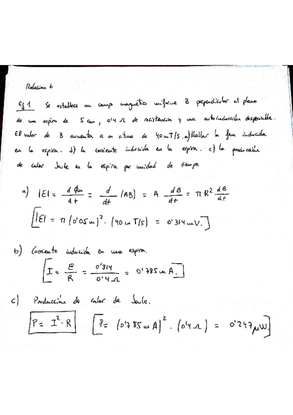
He publicado nuevos examenes de 1º Fundamentos Físicos de la Informática: examenes-fisica-resueltos.pdf