@User_3223821

Estudios: Grado en Ingeniería Informática (UDC) ...Mostrar más

27 Publicaciones

1.19k Interacciones

0 Seguidores

0 Siguiendo

Lista de publicaciones de User_3223821

He publicado nuevos examenes de 3º Modelado Avanzado de Información: Examen-MongoDB-2025.pdf

3 páginas

practicas

-

Boletines SQL resueltos

He publicado nuevos practicas de 3º Explotación de Almacenes de Datos: Boletines SQL resueltos

Boletin-0-SQL-Repasosol.pdf
Boletin-1-GROUPING-SETSsol.pdf
Boletin-2-PIVOTARsol.pdf
Boletin-3-funcionsanaliticassol.pdf

He publicado nuevos examenes de 3º Explotación de Almacenes de Datos: Examen-2023/24-Q2-2op.pdf

2 páginas

He publicado nuevos examenes de 3º Explotación de Almacenes de Datos: Examen-2023/24-Q2-1op.pdf

2 páginas

He publicado nuevos apuntes de 2º Algoritmos: Tema-1-en-castellano.pdf

38 páginas

He publicado nuevos apuntes de 1º Estadística: Formularios-de-todos-los-temas.pdf

4 páginas

apuntes

-

Temario COMPLETO con ejemplos y ejercicios

He publicado nuevos apuntes de 1º Álgebra: Temario COMPLETO con ejemplos y ejercicios

Tema-1.pdf
Tema-2.pdf
Tema-3.pdf
Tema-4.pdf
Tema-5.pdf

He publicado nuevos apuntes de 1º Programación II: Arboles-Binarios-ABB-AVL.pdf

7 páginas

He publicado nuevos apuntes de 1º Programación II: Tema-5-Pilas-especificacion-e-implementacion.pdf

4 páginas

He publicado nuevos apuntes de 1º Programación II: Recursividad.pdf

3 páginas

He publicado nuevos ejercicios de 1º Tecnología Electrónica: TGR-1-y-2.pdf

6 páginas

He publicado nuevos ejercicios de 1º Fundamentos de los Computadores: Boletin-Tema-5.pdf

4 páginas

He publicado nuevos apuntes de 1º Fundamentos de los Computadores: Resumen-Temas-4-y-5.pdf

4 páginas

He publicado nuevos examenes de 1º Cálculo: Examen-resuelto-enero-2023.pdf

10 páginas

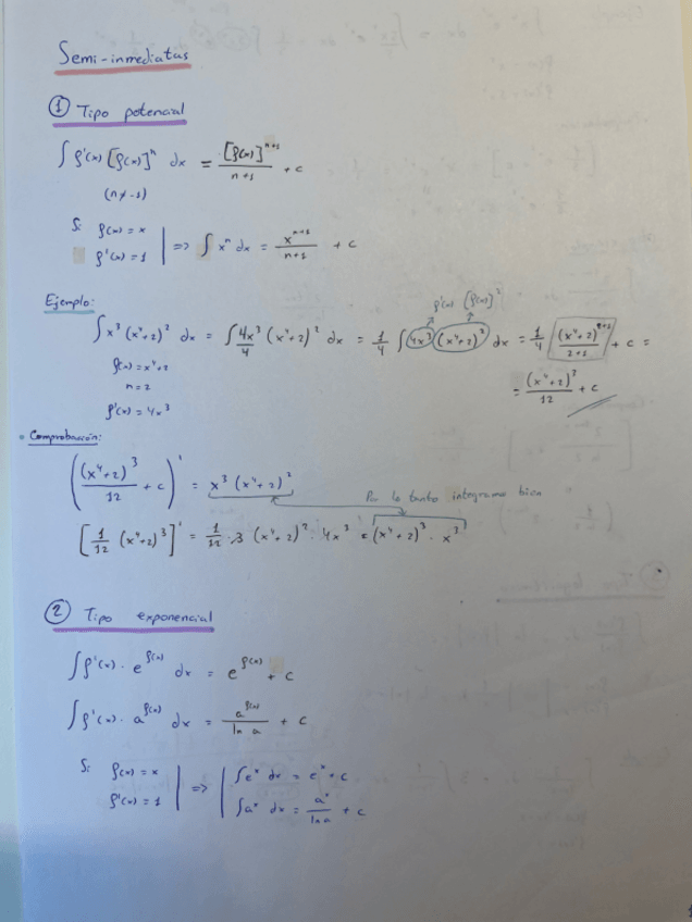
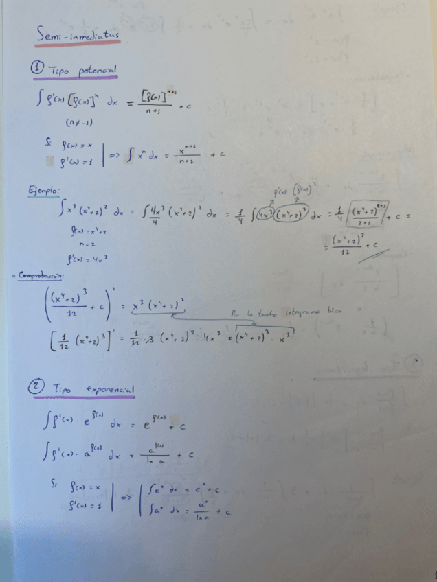
He publicado nuevos apuntes de 1º Cálculo: Apuntes-Tema-4-integrales-con-ejemplos.pdf

27 páginas

He publicado nuevos apuntes de 1º Cálculo: Apuntes-Temas-2-y-3-con-ejemplos.pdf

21 páginas

He publicado nuevos apuntes de 1º Cálculo: Apuntes-Sympy-Numpy.pdf

4 páginas

He publicado nuevos ejercicios de 1º Informática Básica: Boletines-resueltos-Tema-1.pdf

7 páginas

He publicado nuevos ejercicios de 1º Administración y gestión de organizaciones: Boletin-resuelto-Tema-5.pdf

2 páginas

He publicado nuevos apuntes de 1º Administración y gestión de organizaciones: Formularios-de-todos-los-temas.pdf

9 páginas