@user_3236530

248 Publicaciones

2.11k Interacciones

2 Seguidores

0 Siguiendo

Lista de publicaciones de user_3236530

examenes

-

Ampliación de Dirección de Operaciones

Son todas las respuestas al listado de preguntas que hay que estudiar para el examen teórico del primer parcial

Respuestas-preguntas-examen-teorico-ADO.pdf

ejercicios

-

Problemas Termodinámica

He publicado nuevos ejercicios de 2º Termodinámica: Problemas Termodinámica

Problemas-de-termodinamica-curso-2018-19.pdf

examenes

-

Exámenes Termodinámica

He publicado nuevos examenes de 2º Termodinámica: Exámenes Termodinámica

coleccion-problemas-de-examen-CICLOS.pdf
ex-td-2007jun.pdf
ex-td-2007sep.pdf
ex-td-2008sep.pdf
ex-td-2009jun.pdf
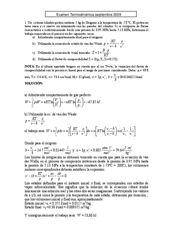
ex-td-2009sep.pdf

apuntes

-

Temario Termodinámica

He publicado nuevos apuntes de 2º Termodinámica: Temario Termodinámica

Termodinamicatema-1-Modo-de-compatibilidad.pdf
Termodinamicatema-2.pdf
Termodinamicatema-3.pdf
Termodinamicatema-4-y-5.pdf
Termodinamicatema-6.pdf
Termodinamicatema-7.pdf