@user_3261600
Estudios: Grado en Ingeniería Mecánica (UVIGO)
20 Publicaciones
267 Interacciones
0 Seguidores
0 Siguiendo
Lista de publicaciones de user_3261600
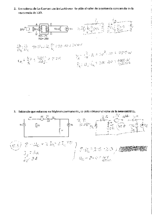
He publicado nuevos examenes de 2º Fundamentos de Electrotecnia: Test-E-solucion.pdf
20 Publicaciones
267 Interacciones
0 Seguidores
0 Siguiendo
He publicado nuevos examenes de 2º Fundamentos de Electrotecnia: Test-E-solucion.pdf