@user_3270602

Estudios: Grado en Derecho (UCLM) ...Mostrar más

24 Publicaciones

195 Interacciones

1 Seguidores

2 Siguiendo

Lista de publicaciones de user_3270602

He publicado nuevos examenes de 2º Derecho Constitucional II: PHOTO-2025-05-21-15-29-31.jpg

Imagen

He publicado nuevos examenes de 2º Derecho Constitucional II: PHOTO-2025-05-21-15-29-31-4.jpg

Imagen

He publicado nuevos examenes de 2º Derecho Constitucional II: PHOTO-2025-05-21-15-29-31-3.jpg

Imagen

He publicado nuevos examenes de 2º Derecho Constitucional II: PHOTO-2025-05-21-15-29-31-2.jpg

Imagen

SUELE REPETIR ESTAS PREGUNTAS

Imagen

RESUMEN DEL MANUAL (LEY ACTUALIZADA)

49 páginas

RESUMEN DEL TEMA DEL MANUAL

Miniatura no disponible
word

RESUMEN DEL MANUAL

Miniatura no disponible
word

RESUMEN DEL TEMA DEL MANUAL

Miniatura no disponible
word

RESUMEN DEL TEMA DEL MANUAL

Miniatura no disponible
word

He publicado nuevos apuntes de 2º Derecho Administrativo II: TEMA-1.rtf

Miniatura no disponible
word

He publicado nuevos apuntes de 2º Derecho Procesal I: PROCESAL-PRIMER-CUATRIMESTRE.pdf

37 páginas

RESUMEN DEL MANUAL T1-5

18 páginas

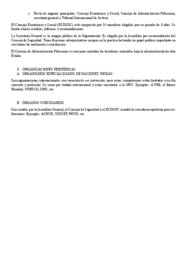
He publicado nuevos apuntes de 2º Derecho Internacional Público: TEMA-10.pdf

6 páginas

He publicado nuevos apuntes de 2º Derecho Internacional Público: TEMA-11.pdf

5 páginas

He publicado nuevos apuntes de 2º Derecho Internacional Público: TEMA-9.pdf

3 páginas

He publicado nuevos apuntes de 2º Derecho Internacional Público: TEMA-8.pdf

4 páginas

He publicado nuevos apuntes de 2º Derecho Internacional Público: TEMA-6-y-7.pdf

5 páginas

He publicado nuevos apuntes de 2º Derecho Constitucional II: TEMA-6.rtf

Miniatura no disponible
word

He publicado nuevos apuntes de 2º Derecho Constitucional II: TEMA-5-DERECHO-A-LA-VIDA-Y-A-LA-INTEGRIDAD-FISICA.rtf

Miniatura no disponible
word