@user_3271415

35 Publicaciones

487 Interacciones

0 Seguidores

0 Siguiendo

Lista de publicaciones de user_3271415

He publicado nuevos apuntes de 1º Fundamentos de Marketing: wuolah-free-Preguntas-teorico-practicas.pdf

7 páginas

He publicado nuevos ejercicios de 1º Fundamentos de Administración de Empresas: Formulas-principales.pdf

9 páginas

He publicado nuevos apuntes de 1º Historia Económica: Tema-5-Presentacion.pdf

62 páginas

He publicado nuevos apuntes de 1º Historia Económica: Tema-4-Presentacion.pdf

100 páginas

He publicado nuevos apuntes de 1º Historia Económica: Tema-3-Presentacion.pdf

79 páginas

He publicado nuevos apuntes de 1º Historia Económica: Tema-2-Presentacion.pdf

110 páginas

He publicado nuevos apuntes de 1º Historia Económica: Tema-1-Presentacion.pdf

137 páginas

examenes

-

Ejercicios para examen tema 1

He publicado nuevos examenes de 1º Historia Económica: Ejercicios para examen tema 1

T-1-01.-Ejercicio.pdf
T-1-02-Ejercicio.pdf
T-1-03-Ejercicio.pdf
T-1-04-Ejercicio.pdf
T-1-05-Ejercicio.pdf

Hola, alguien puede subir algún examen de estadística I, gracias.

He publicado nuevos apuntes de 1º Introducción a la Economía: Ejercicios-Tema-5.pdf

5 páginas

He publicado nuevos apuntes de 1º Matemáticas para la Economía y la Empresa: TEMA-2-TEORIA.pdf

40 páginas

He publicado nuevos apuntes de 1º Matemáticas para la Economía y la Empresa: Tema-1-Algebra-sin-FC.pdf

13 páginas

He publicado nuevos apuntes de 1º Matemáticas para la Economía y la Empresa: SistemasdeEcuacionesFICO-T1.pdf

4 páginas

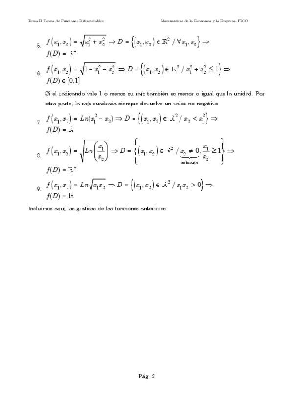
He publicado nuevos apuntes de 1º Matemáticas para la Economía y la Empresa: Relacion-Tema-2-Funciones-Diferenciables-SOLUCIONES.pdf

46 páginas

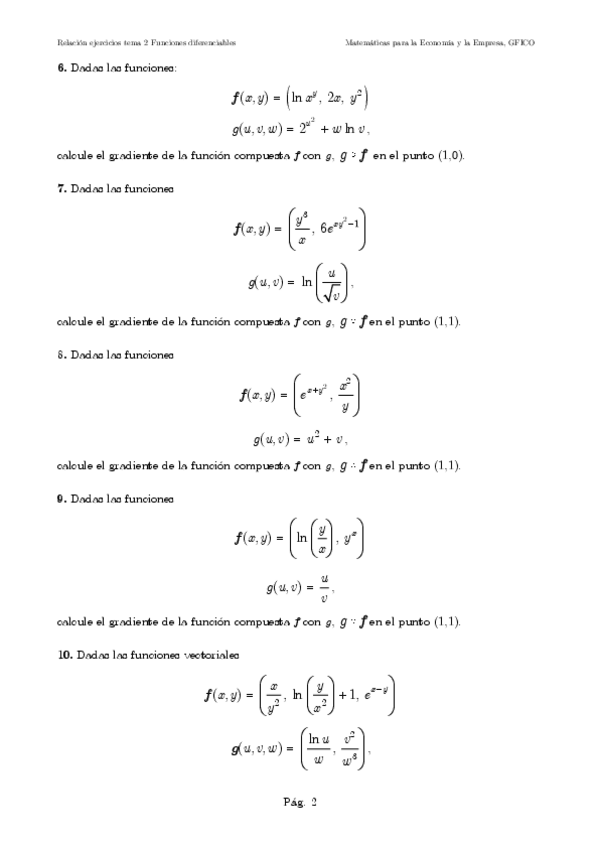
He publicado nuevos apuntes de 1º Matemáticas para la Economía y la Empresa: Relacion-Tema-2-Funciones-diferenciables-ENUNCIADOS-3.pdf

4 páginas

He publicado nuevos apuntes de 1º Matemáticas para la Economía y la Empresa: Relacion-problemas-tema-1-Algebra.pdf

3 páginas

He publicado nuevos apuntes de 1º Matemáticas para la Economía y la Empresa: Relacion-problemas-tema-1-Algebra-SOLUCIONES-para-alumnos-1.pdf

26 páginas

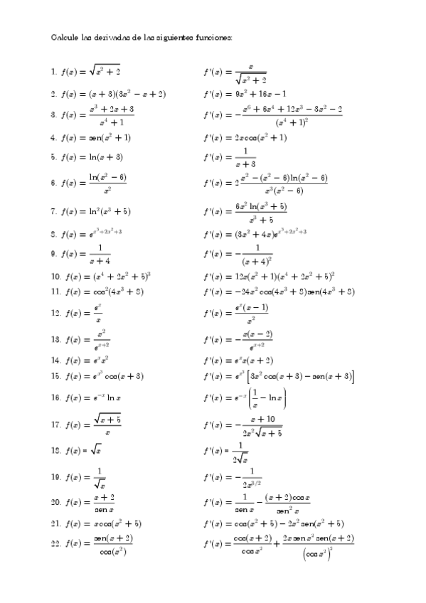
He publicado nuevos apuntes de 1º Matemáticas para la Economía y la Empresa: Relacion-de-derivadas-funciones-una-variable-con-solucion-2.pdf

2 páginas

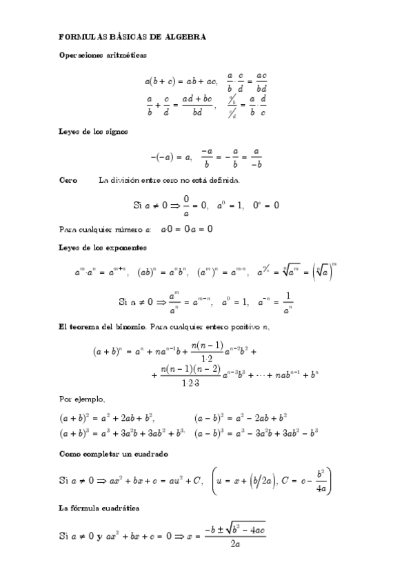
He publicado nuevos apuntes de 1º Matemáticas para la Economía y la Empresa: Formulas-basicas-de-algebra.pdf

1 página

He publicado nuevos apuntes de 1º Matemáticas para la Economía y la Empresa: Funciones-de-una-variable-real.pdf

51 páginas