@user_3290527

Estudios: Grado en Enfermería (UCA) ...Mostrar más

9 Publicaciones

103 Interacciones

1 Seguidores

0 Siguiendo

Lista de publicaciones de user_3290527

resumen

29 páginas

He publicado nuevos apuntes de 1º Organografía Mocroscópica Humana: organografia-resumen.pdf

28 páginas

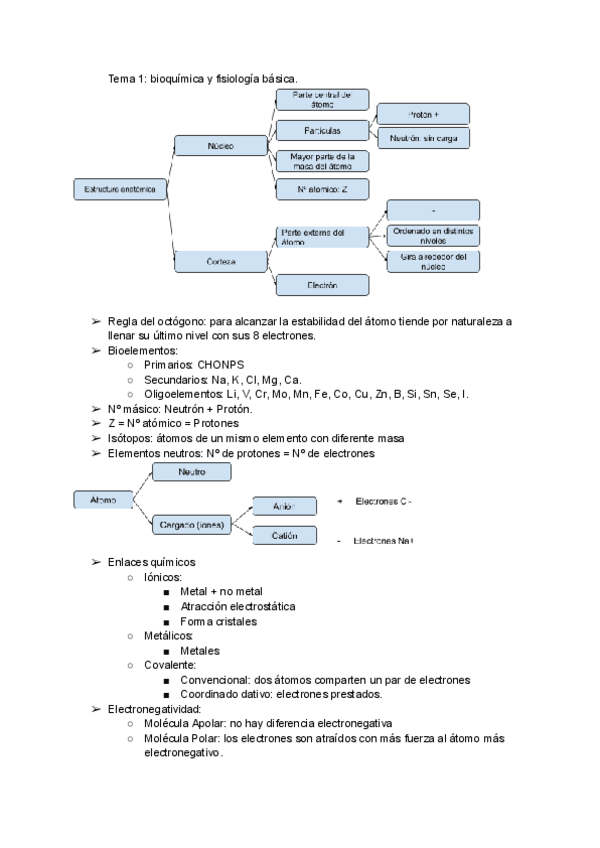
He publicado nuevos apuntes de 1º Bioquímica y Fisiología Básica: fisiologia-resumen.pdf

62 páginas

He publicado nuevos apuntes de 1º Anatomía: vertebras-comparaciones.pdf

1 página

He publicado nuevos apuntes de 1º Anatomía: Ligamentos-vertebrales..pages

Miniatura no disponible
word

He publicado nuevos apuntes de 1º Anatomía: articulaciones-vertebrales.pages

Miniatura no disponible
word

He publicado nuevos apuntes de 1º Anatomía: agujeros-vertebrales.pdf

1 página

He publicado nuevos apuntes de 1º Bases Teóricas y Metodológicas de los Cuidados de Salud: teoricas.pdf

3 páginas

He publicado nuevos apuntes de 1º Bioquímica y Fisiología Básica: Bioquimica-y-fisiologia-basica.pdf

18 páginas