@user_3292285

11 Publicaciones

38 Interacciones

1 Seguidores

0 Siguiendo

Lista de publicaciones de user_3292285

He publicado nuevos apuntes de 4º Exámen Técnico y Documentación de los Bienes Culturales. Investigación y Método Científico: Apuntes.pdf

16 páginas

He publicado nuevos apuntes de 4º Exámen Técnico y Documentación de los Bienes Culturales. Investigación y Método Científico: Resumen.pdf

4 páginas

He publicado nuevos apuntes de 4º Restauración de Obras Pictóricas sobre Diferentes Soportes: Teoria1.pdf

4 páginas

He publicado nuevos apuntes de 4º Restauración de Obras Pictóricas sobre Diferentes Soportes: MURAL-LIENZO.pdf

5 páginas

He publicado nuevos apuntes de 4º Pintura Mural. Soportes y Técnicas: ApuntesMural1.pdf

8 páginas

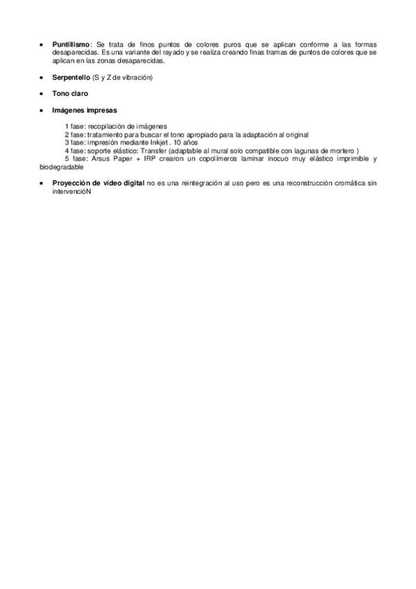
He publicado nuevos apuntes de 4º Pintura Mural. Soportes y Técnicas: Mural-3.pdf

5 páginas

He publicado nuevos apuntes de 4º Pintura Mural. Soportes y Técnicas: apuntes-mural-2.pdf

11 páginas

He publicado nuevos apuntes de 3º Fundamentos de la Conservación de Obras Escultóricas sobre Diferentes Soportes: Apuntes-madera.pdf

6 páginas

He publicado nuevos apuntes de 4º Gestión de Patrimonio, Exposición y Registro: Resumen-Apuntes.pdf

6 páginas

He publicado nuevos apuntes de 3º Teoría de la Restauración y la Conservación: APUNTES-generales.pdf

8 páginas