@user_3314915

49 Publicaciones

362 Interacciones

1 Seguidores

1 Siguiendo

Lista de publicaciones de user_3314915

apuntes

-

Topología I

He publicado nuevos apuntes de 2º Topología I: Topología I

1.-Espacios-metricos.pdf

apuntes

-

Análisis I

He publicado nuevos apuntes de 1º Análisis Matemático I: Análisis I

1.-Espacios-metricos-y-normados.pdf

He publicado nuevos apuntes de 1º Cálculo Diferencial e Integral: 8.-Integrales-Vectoriales.pdf

11 páginas

apuntes

-

Demostraciones Análisis

He publicado nuevos apuntes de 1º Introducción al Análisis Matemático: Demostraciones Análisis

2.-Sucesiones.pdf
3.-Topologia.pdf
4.-Limites.pdf
5.-Continuidad.pdf

He publicado nuevos apuntes de 1º Cálculo Diferencial e Integral: Tema-3.-Limite-y-continuidad-de-funciones.pdf

7 páginas

He publicado nuevos apuntes de 1º Cálculo Diferencial e Integral: Tema-2.-Sucesiones.pdf

3 páginas

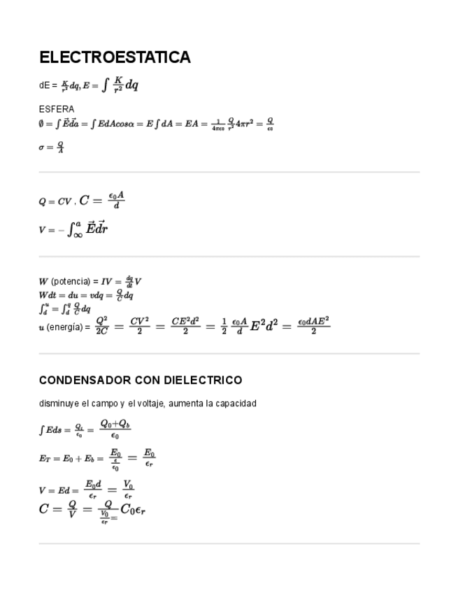
Solo son las formulas

2 páginas

He publicado nuevos apuntes de 1º Empresa: Empresa-Tema-1.pdf

30 páginas

He publicado nuevos apuntes de 1º Cálculo Diferencial e Integral: Relaciones-trigonometricas.pdf

1 página

He publicado nuevos apuntes de 1º Cálculo Diferencial e Integral: Tema-0.pdf

1 página

He publicado nuevos apuntes de 1º Álgebra Lineal y Geometría: Tema-0.pdf

3 páginas