@user_3339447

48 Publicaciones

3.23k Interacciones

12 Seguidores

0 Siguiendo

Lista de publicaciones de user_3339447

He publicado nuevos apuntes de 2º Laboratorio de Química: Informes-Analitica-corregidos.pdf

30 páginas

He publicado nuevos practicas de 2º Laboratorio de Química: INORGANICA-CUESTIONES-INICIALES-Y-FINALES-COMPLETAS-CORREGIDAS.pdf

24 páginas

He publicado nuevos practicas de 2º Laboratorio de Química: Informes-practicas-quifi-I-termo.pdf

15 páginas

He publicado nuevos apuntes de 2º Química Inorgánica I: Teoria-T1-y-T3.pdf

25 páginas

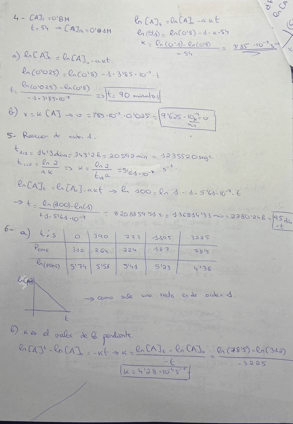
He publicado nuevos ejercicios de 2º Química Física I: QF-ejercicios-T5-COMPLETOS.pdf

3 páginas

Notas de los informes: Neutralización: 7; Crioscopía: 8; Cinética: 10; Victor-Meyer: 9,5

13 páginas

He publicado nuevos examenes de 1º Química General: QG-CORRECCION-CONTROL-2-DICIEMBRE-2022.pdf

2 páginas

He publicado nuevos examenes de 1º Química General: QG-CORRECION-CONTROL-1-OCTUBRE-2022.pdf

2 páginas

He publicado nuevos apuntes de 1º Química General: QG-1o-CUATRI-RESUMENES-COSAS-MAS-IMPORTANTES.pdf

8 páginas

He publicado nuevos ejercicios de 1º Química General: QG-EJS-T10-1-3.pdf

2 páginas

He publicado nuevos ejercicios de 1º Química General: QG-EJS-T9.pdf

9 páginas

He publicado nuevos ejercicios de 1º Química General: QG-EJS-T8-2.pdf

4 páginas

He publicado nuevos ejercicios de 1º Química General: QG-EJS-T8.pdf

6 páginas

He publicado nuevos ejercicios de 1º Química General: QG-EJS-T7-2.pdf

2 páginas

He publicado nuevos ejercicios de 1º Química General: QG-EJS-T7.pdf

3 páginas

He publicado nuevos ejercicios de 1º Química General: QG-EJS-T6-2.pdf

5 páginas

He publicado nuevos ejercicios de 1º Química General: QG-EJS-T5.pdf

8 páginas

He publicado nuevos ejercicios de 1º Química General: QG-EJS-T6.pdf

8 páginas

He publicado nuevos ejercicios de 1º Química General: QG-EJS-T4.pdf

9 páginas

He publicado nuevos ejercicios de 1º Química General: QG-EJS-T3.pdf

3 páginas