@user_3356042

Estudios: Bachillerato ...Mostrar más

8 Publicaciones

47 Interacciones

0 Seguidores

0 Siguiendo

Lista de publicaciones de user_3356042

apuntes

-

Literatura Valenciana

He publicado nuevos apuntes de 1º Lengua Valenciana y Literatura I: Literatura Valenciana

T.7-El-Misteri-dElx.pdf
T.3Ausias-March.pdf
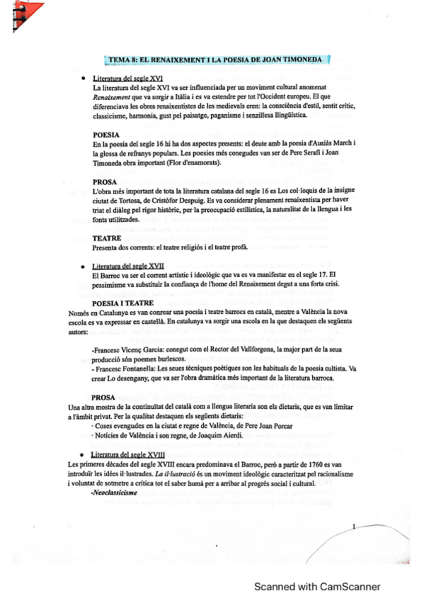
T.8-El-renaixement-i-la-poesia-de-Joan-Timoneda.pdf
T.6-Joan-Rois-de-Corella.pdf
T.2-Jordi-de-Sant-Jordi-i-Ausias-March.pdf

He publicado nuevos apuntes de 1º Lengua Valenciana y Literatura I: T.4La-novella-del-S.XV--Curial-e-Guelfa.pdf

3 páginas

apuntes

-

La Edad Media

He publicado nuevos apuntes de 1º Lengua Castellana y Literatura I: La Edad Media

La-Edad-Media.pdf

He publicado nuevos apuntes de 1º Lengua Castellana y Literatura I: El-Cantar-de-Mio-Cid.pdf

3 páginas