@user_3542636

54 Publicaciones

1.02k Interacciones

7 Seguidores

8 Siguiendo

Lista de publicaciones de user_3542636

10

9 páginas

10

6 páginas

10

7 páginas

apuntes

-

Apuntes Learning disabilities José Luis

Complementé estos apuntes hechos por mi con los textos proporcionados por el profesor + unos apuntes naranjas que hay en wuolah+preguntas tipo test y saqué un 7

Unit-6-Learning-disabilities.pdf
Tema-3-Learning-disabilities.pdf
Tema-2-Learning-disabilities.pdf
Unit-1A-y-1B-Learning-disabilities.pdf

9.5 de nota

3 páginas

apuntes

-

Teoría y seminarios

He publicado nuevos apuntes de 2º Enseñanza y aprendizaje de las Matemáticas en la Educación Primaria: Teoría y seminarios

Apuntes-Seminarios-T.2.pdf
Apuntes-Seminarios-Def-Tema-1.pdf
Apuntes-Definitivos-Tema-2.pdf
Apuntes-Def-T3.pdf

9 en el examen

10 páginas

apuntes

-

Apuntes temas 3 y 4 Diversidad

He publicado nuevos apuntes de 2º Atención a la Diversidad en la Educación Primaria: Apuntes temas 3 y 4 Diversidad

Apuntes-tema-3-diversidad.pdf
Apuntes-tema-4-DIVERSIDAD.pdf

He publicado nuevos apuntes de 1º Sociología de la Educación: Bibliographic-Research-Sociology.pdf

1 página

He publicado nuevos apuntes de 2º Didáctica de la Lengua Española Ii: Preguntas examen.pdf

49 páginas

apuntes

-

Resúmenes temas Lengua

He publicado nuevos apuntes de 2º Didáctica de la Lengua Española Ii: Resúmenes temas Lengua

1.-La-didactica-de-la-lengua-y-la-literatura.pdf
Resumen-tema-2.pdf
TEMA-3-LAS-HABILIDADES-LINGUISTICAS.pdf
TEMA-4.pdf
TEMA-5.-DIDACTICA-DE-LA-LECTOESCRITURA-1.pdf
TEMA-6-DIDACTICA-DE-LA-LENGUA-ESCRITA.pdf

He publicado nuevos apuntes de 1º Fundamentos Pedagógicos e Historia de la Escuela: Todo-el-temario-Fundamentos.pdf

18 páginas

apuntes

-

Tercer parcial (temas 5 y 6)

He publicado nuevos apuntes de 2º Didáctica de las Ciencias Sociales: Tercer parcial (temas 5 y 6)

Tema-5.-Historia-en-las-Ciencias-sociales.-definitivo.pdf
TEMA-6-definitivo.pdf

apuntes

-

Sociology of education

He publicado nuevos apuntes de 1º Sociología de la Educación: Sociology of education

Apuntes-tema-1.pdf
Apuntes-tema-2.pdf
Apuntes-tema-3.pdf
Apuntes-tema-5.pdf
Apuntes-tema-6.pdf
Apuntes-tema-7.pdf

He publicado nuevos apuntes de 2º Didáctica de las Ciencias Sociales: Apuntes-tema-2-Ciencias-Sociales-examen.pdf

7 páginas

He publicado nuevos apuntes de 2º Didáctica de las Ciencias Sociales: Apuntes-tema-1-Ciencias-Sociales.pdf

7 páginas

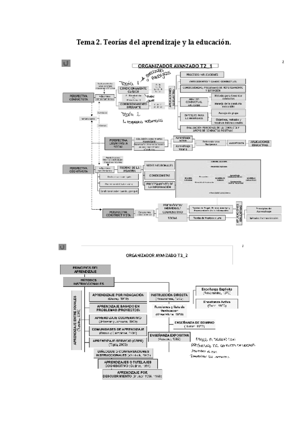
He publicado nuevos apuntes de 1º Psicología de la Educación: Tema-2-psicologia-incompleto.pdf

6 páginas

apuntes

-

Resúmenes 1,2,3,4,5,6,7

He publicado nuevos apuntes de 1º Didáctica de la Lengua Española I: Resúmenes 1,2,3,4,5,6,7

Resumen-tema-1.pdf
Resumen-tema-2.pdf
Resumen-tema-3.pdf
Resumen-tema-7.pdf
Resumen-tema-6.pdf
Resumen-tema-5.pdf