@user_3544123

Estudios: Grado en Economía (Inglés) (UAB) ...Mostrar más

46 Publicaciones

1.54k Interacciones

6 Seguidores

0 Siguiendo

Lista de publicaciones de user_3544123

He publicado nuevos examenes de 2º Microeconomía II: ExaMicroII20171.pdf

7 páginas

examenes

-

examenes mates

He publicado nuevos examenes de 1º Matemáticas: examenes mates

Recuperacion2023.pdf
Parcial-1-2024.pdf
Final-2022.pdf
Parcial3ekoade24-1.pdf
Parcial2-2024.pdf
Parcial-3-2022.pdf

He publicado nuevos examenes de 1º Matemáticas: Final-mates-2017.pdf

1 página

He publicado nuevos examenes de 1º Matemáticas: Final-mates-2023.pdf

1 página

He publicado nuevos examenes de 1º Matemáticas: Final-matematicas-2020-con-soluciones.pdf

3 páginas

He publicado nuevos examenes de 1º Matemáticas: Final-mates-2016.pdf

1 página

He publicado nuevos examenes de 1º Matemáticas: Final-mates-2020.pdf

1 página

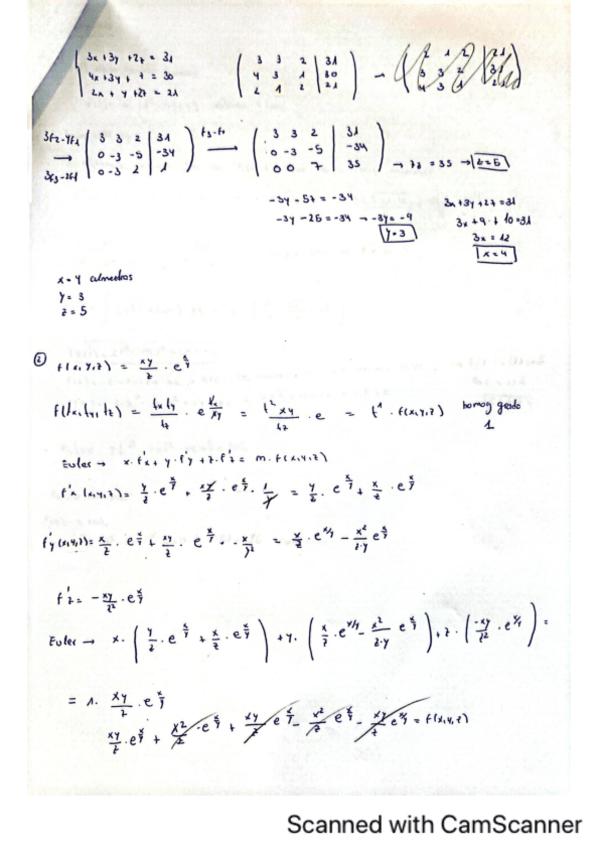
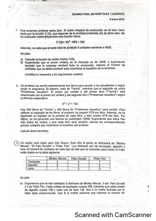
He publicado nuevos examenes de 1º Matemáticas: Final-mates-2013.pdf

1 página

examenes

-

examenes mates

He publicado nuevos examenes de 1º Matemáticas: examenes mates

Finalekoade24.pdf

He publicado nuevos test de 2º Contabilidad Financiera II: TEST-EXAMEN-TEMAS-6-7-1-1.pdf

12 páginas

He publicado nuevos examenes de 1º Operaciones Financieras: examen-ud-2-op-financieras.pdf

4 páginas

He publicado nuevos examenes de 1º Operaciones Financieras: examen-ud-3-op-financieras.pdf

3 páginas

He publicado nuevos apuntes de 1º Operaciones Financieras: OFUNIDAD3-power-point.pdf

39 páginas

He publicado nuevos examenes de 2º Microeconomía II: ExaMicroII20161.pdf

7 páginas

He publicado nuevos apuntes de 3º Historia Económica II: libro-historia-II.pdf

487 páginas

He publicado nuevos apuntes de 3º Economía Pública I: Publica.pdf

23 páginas

He publicado nuevos examenes de 2º Estadística II: PARCIAL-2-ESTADISTICA-resuelto.pdf

11 páginas