@user_3599462

50 Publicaciones

1.77k Interacciones

2 Seguidores

0 Siguiendo

Lista de publicaciones de user_3599462

He publicado nuevos apuntes de 4º Contabilidad Internacional: INTERNATIONAL-ACCOUNTING.pdf

33 páginas

He publicado nuevos examenes de 4º Finanzas Corporativas: test-questions.pdf

17 páginas

He publicado nuevos apuntes de 4º Valoración de Empresas: BUSINESS-VALUATION-notes.pdf

41 páginas

He publicado nuevos apuntes de 4º Finanzas Corporativas: CORPORATE-FINANCE-notes.pdf

38 páginas

He publicado nuevos apuntes de 4º Gestión del Riesgo Financiero: FINANCIAL-RISK-MANAGEMENT.pdf

49 páginas

He publicado nuevos examenes de 2º Derecho de los Negocios Internacionales: exam--explicaciones.pdf

5 páginas

He publicado nuevos apuntes de 2º Derecho de los Negocios Internacionales: apuntes-derecho-resumidos.pdf

50 páginas

He publicado nuevos ejercicios de 2º Macroeconomía: apuntes-macro-resumidnos.pdf

28 páginas

He publicado nuevos ejercicios de 2º Economía Internacional: small-country-cases.pdf

3 páginas

He publicado nuevos examenes de 2º Técnicas cuantitativas aplicadas a la Empresa: final-exam--explanation.pdf

8 páginas

He publicado nuevos examenes de 2º Técnicas cuantitativas aplicadas a la Empresa: final-exam-EXPLANATIONS.pdf

6 páginas

He publicado nuevos practicas de 2º Dirección Comercial: test-de-prueba.pdf

3 páginas

He publicado nuevos apuntes de 2º Dirección Financiera: task-4-test-AND-answers.pdf

4 páginas

He publicado nuevos apuntes de 2º Dirección Estratégica: tests-and-answers-COMPLETO.pdf

9 páginas

He publicado nuevos apuntes de 2º Economía Internacional: teoria-full.pdf

56 páginas

He publicado nuevos apuntes de 2º Dirección Estratégica: teoria-full.pdf

59 páginas

He publicado nuevos test de 2º Dirección Estratégica: test-unit-4.pdf

3 páginas

He publicado nuevos test de 2º Dirección Estratégica: test-unit-3.pdf

2 páginas

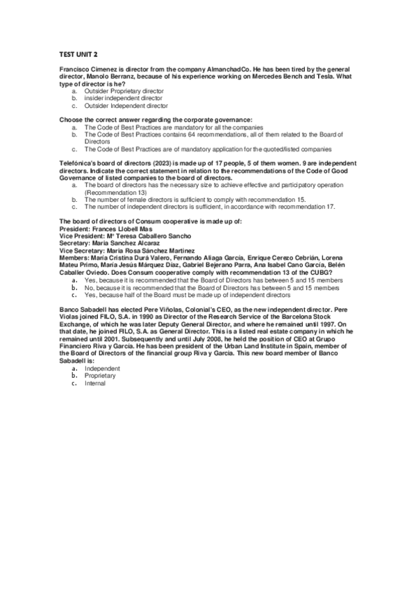
He publicado nuevos test de 2º Dirección Estratégica: test-unit-2.pdf

1 página

He publicado nuevos apuntes de 2º Dirección Financiera: teoria-ingles.pdf

34 páginas