@user_3630209

21 Publicaciones

275 Interacciones

3 Seguidores

0 Siguiendo

Lista de publicaciones de user_3630209

He publicado nuevos ejercicios de 1º Geología, Edafología y Climatología: Cuestiones-todo-geologia.docx

word

apuntes

-

Geología

He publicado nuevos apuntes de 1º Geología, Edafología y Climatología: Geología

Mineralogia-1.1-Introduccion.docx
Mineralogia-1.2-Neso-Soro-Ciclo-Inosilicatos.docx
Mineralogia-1.3-Filosilicatos.docx
Mineralogia-1.4-Tectosilicatos-y-otros-minerales.docx
Petrologia-2.1-Intro.-y-Rocas-igneas.docx
Petrologia-2.2-Rocas-metamorficas.docx

He publicado nuevos ejercicios de 1º Física General: T1-Problemas-calculo-vectorial.pdf

2 páginas

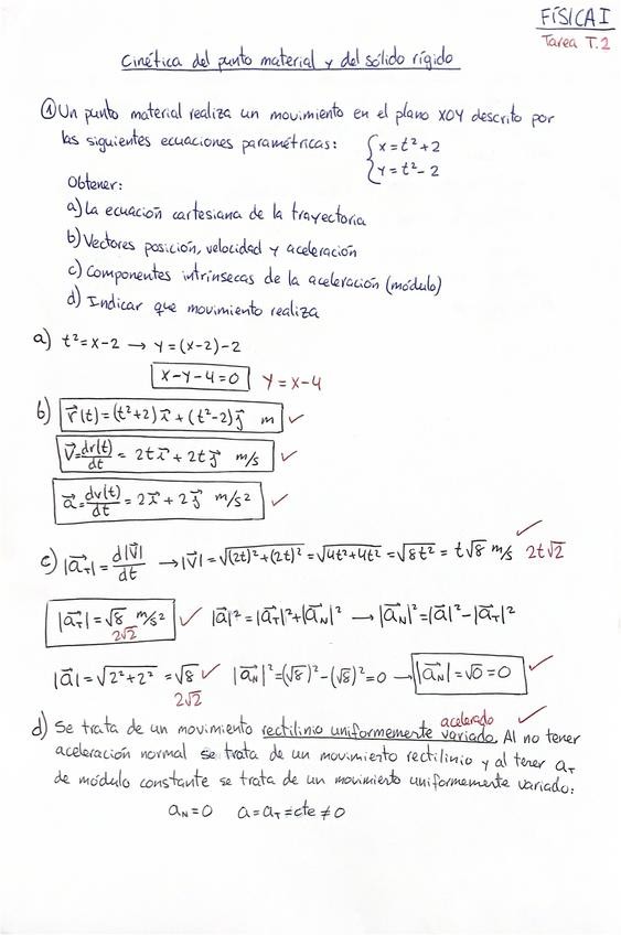
He publicado nuevos ejercicios de 1º Física General: Tarea-T2-Cinetica.pdf

2 páginas

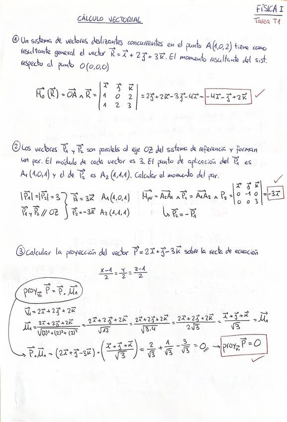
He publicado nuevos ejercicios de 1º Física General: Tarea-T1-Calculo-vectorial.pdf

2 páginas

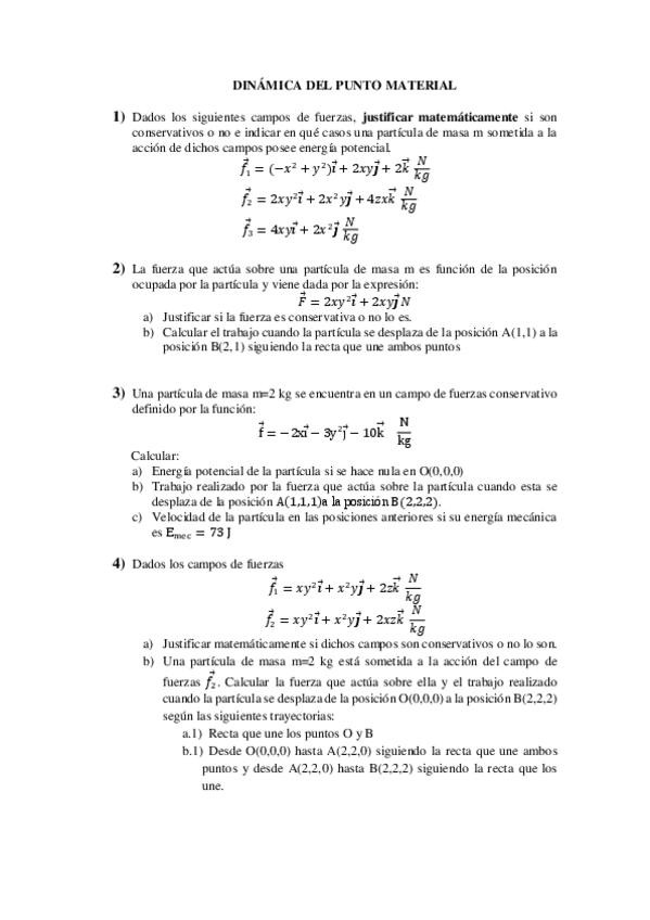
He publicado nuevos ejercicios de 1º Física General: T4-Problemas-dinamica-del-punto-material.pdf

6 páginas

He publicado nuevos apuntes de 1º Química General: Resumen-T2-Operaciones-basicas.pdf

5 páginas

He publicado nuevos apuntes de 1º Química General: T5-Redox.pdf

5 páginas

He publicado nuevos apuntes de 1º Matemáticas II: T.3-Diagonalizacion.pdf

5 páginas

He publicado nuevos apuntes de 1º Matemáticas II: T4-Curvas-en-R2-y-Superficies-en-R3.pdf

2 páginas

ejercicios

-

T5 Problemas

He publicado nuevos ejercicios de 1º Física Aplicada a la Ingeniería Alimentaria: T5 Problemas

T5-Problemas.pdf
T5-Problemas-de-radiacion.pdf

He publicado nuevos apuntes de 1º Física Aplicada a la Ingeniería Alimentaria: Tema-5-Transferencia-de-calor.pdf

1 página

He publicado nuevos apuntes de 1º Física Aplicada a la Ingeniería Alimentaria: Teoria-T4-Termodinamica.pdf

2 páginas

He publicado nuevos apuntes de 1º Física Aplicada a la Ingeniería Alimentaria: Formulas-PEP-I-Fisica-aplicada.pdf

1 página