@user_3646260

8 Publicaciones

182 Interacciones

1 Seguidores

1 Siguiendo

Lista de publicaciones de user_3646260

examenes

-

Examen enero 2026

He publicado nuevos examenes de 2º Bioquímica: Examen enero 2026

09dceaf1-0ef4-4c5f-bd5f-669e4307693b.jpeg
8196612e-067f-4aa8-b9f4-cc9dd430dfa7.jpeg
e509dfaa-344d-42a7-ba50-7d746526aff5.jpeg
a705f19e-c142-4fb4-bb5c-24e91ffaf0fa.jpeg

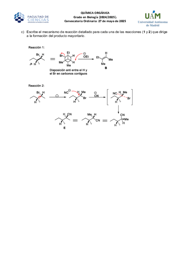
He publicado nuevos examenes de 1º Química: Quimica-organica-2024-2025.pdf

2 páginas

He publicado nuevos examenes de 1º Química: Examen-Quimica-organica-mayo-2025-solucion.pdf

8 páginas

He publicado nuevos apuntes de 1º Química: Apuntes-organica.pdf

16 páginas

He publicado nuevos examenes de 1º Zoología: Zoo-4o-parcial.pdf

8 páginas