@user_3649158

Estudios: Bachillerato ...Mostrar más

10 Publicaciones

132 Interacciones

2 Seguidores

1 Siguiendo

Lista de publicaciones de user_3649158

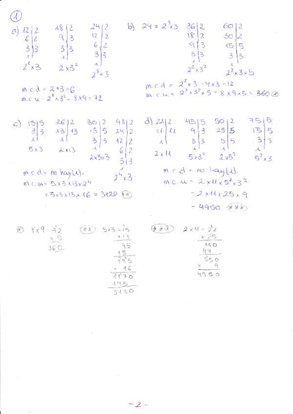
Ficha resuelta con cuatro ejercicios de matemáticas de 1ESO, sobre el mínimo común múltiplo (MCM), el máximo común divisor (MCD), y la suma, resta, multiplicación, división y simplificación de fracciones con distinto denominador.

4 páginas

He publicado nuevos apuntes de 1º Biología, Geología y Ciencias Ambientales: La-estructura-y-la-dinamica-de-la-Tierra.pdf

8 páginas

He publicado nuevos apuntes de 1º Biología, Geología y Ciencias Ambientales: Resumen-Los-tejidos.pdf

5 páginas

He publicado nuevos apuntes de 1º Biología, Geología y Ciencias Ambientales: Resumen-Las-funciones-vitales-en-las-plantas.pdf

5 páginas

He publicado nuevos apuntes de 1º Biología, Geología y Ciencias Ambientales: Resumen-La-reproduccion-en-los-animales.pdf

9 páginas

He publicado nuevos apuntes de 1º Biología, Geología y Ciencias Ambientales: Resumen-La-funcion-de-nutricion-en-los-animales.pdf

7 páginas

He publicado nuevos apuntes de 1º Biología, Geología y Ciencias Ambientales: Resumen-La-celula.pdf

8 páginas

Apuntes literatura

2 páginas

He publicado nuevos apuntes de 3º Matemáticas: Ficha-ejercicios-matemáticas.pdf

6 páginas

He publicado nuevos ejercicios de 3º Física y Química: Ficha-ejercicios-fisíca-y-química.pdf

4 páginas