@user_3710011

5 Publicaciones

105 Interacciones

0 Seguidores

0 Siguiendo

Lista de publicaciones de user_3710011

He publicado nuevos apuntes de 3º Diseño de Máquinas I: ejercicios-3.pdf

48 páginas

He publicado nuevos apuntes de 3º Diseño de Máquinas I: ejercicios-1.pdf

44 páginas

He publicado nuevos apuntes de 3º Diseño de Máquinas I: ejercicios-2.pdf

76 páginas

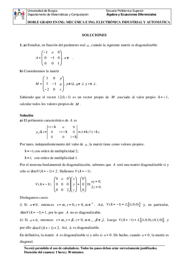
He publicado nuevos apuntes de 1º álgebra y ecuaciones diferenciales: SegundaConv2PDGMEA2021febrero2021-4.pdf

6 páginas

He publicado nuevos apuntes de 1º álgebra y ecuaciones diferenciales: PrimeraConv2PDGMEA2021enero2021-5.pdf

6 páginas