@user_3764682

35 Publicaciones

757 Interacciones

0 Seguidores

5 Siguiendo

Lista de publicaciones de user_3764682

He publicado nuevos examenes de 2º Matemáticas Financieras: Examen-Final-2026-Mates-Financieras.pdf

2 páginas

ejercicios

-

Ejercicios Tema 5 Corregidos

He publicado nuevos ejercicios de 3º Decisiones de financiación: Ejercicios Tema 5 Corregidos

Ejercicio-1--Solucion.pdf
Ejercicio-2--Solucion.pdf
Ejercicio-3--Solucion.pdf
Ejercicio-4--Solucion.pdf
Ejercicio-5--Solucion.pdf
Ejercicio-6--Solucion.pdf

He publicado nuevos examenes de 3º Investigación Comercial: TEST-TODOS-LOS-TEMAS-40-PREGUNTAS.pdf

8 páginas

He publicado nuevos apuntes de 3º Investigación Comercial: Resumen-todos-los-temas-definitivo.pdf

48 páginas

He publicado nuevos examenes de 2º Matemáticas Financieras: Examen-Enero-23-Corregido.pdf

10 páginas

He publicado nuevos examenes de 2º Matemáticas Financieras: Examen-Jun-23-Corregido.pdf

8 páginas

He publicado nuevos examenes de 2º Matemáticas Financieras: Examen-Enero-24-Corregido-pdf.pdf

8 páginas

He publicado nuevos examenes de 3º Fundamentos de Marketing: TEST-TODOS-LOS-TEMAS.pdf

16 páginas

He publicado nuevos examenes de 3º Fundamentos de Marketing: Preguntas-de-examen-Marketing.pdf

3 páginas

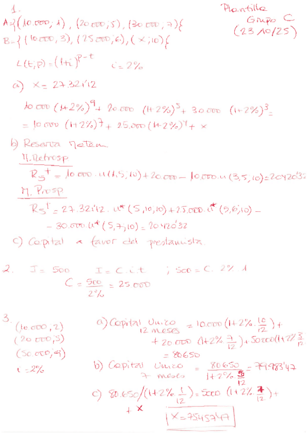
He publicado nuevos examenes de 3º Metodos de Decision: Solucion-ejercicios-de-exemenes-anos-anteriores.pdf

4 páginas

Parte Práctica

2 páginas

Preguntas de exámenes todos los temas

3 páginas

He publicado nuevos examenes de 2º Matemáticas Financieras: Solucion-ej-4.pdf

1 página

He publicado nuevos examenes de 2º Matemáticas Financieras: Solucion-ej-1-2-3.pdf

1 página

He publicado nuevos examenes de 2º Matemáticas Financieras: Primer-Parcial-Temas-1-2-y-3.pdf

1 página

He publicado nuevos examenes de 2º Matemáticas Financieras: EXAMEN-FINAL-JUNIO-2025.pdf

2 páginas

Examen final Matemáticas Financieras

1 página

He publicado nuevos examenes de 2º Matemáticas Financieras: Examen-Junio-2024.pdf.pdf

2 páginas

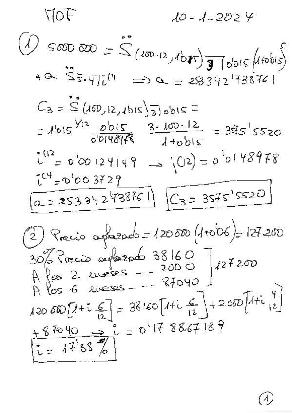
He publicado nuevos examenes de 2º Matemáticas Financieras: Examen-Enero-2024-Corregido.pdf

5 páginas