@user_3901510

7 Publicaciones

9 Interacciones

0 Seguidores

0 Siguiendo

Lista de publicaciones de user_3901510

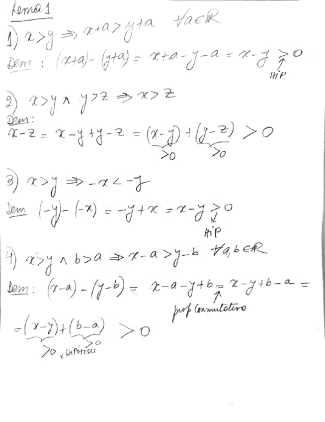
He publicado nuevos ejercicios de 1º Álgebra y Geometría: Lema1-DEMOSTRACIONES-INECUACIONES.pdf

2 páginas

Carpio, A., Los problemas de la Filosofía - Libro completo

10 páginas

Contenido: Mundo juridico, la persona humana, la persona juridica, obligaciones, contratos, el patrimonio y los derechos reales, derecho de la familia.

48 páginas

He publicado nuevos examenes de 1º Introducción a la Filosofía: Preguntas-parcial-1.pdf

3 páginas

He publicado nuevos apuntes de 1º Introducción a la Filosofía: Resumen-Filosofia-Parcial-1-1.pdf

24 páginas

He publicado nuevos examenes de 1º Introducción a la Filosofía: La-vida-de-Marx.pdf

4 páginas

He publicado nuevos apuntes de 2º Economía General: FINAL-Economia-General.pdf

25 páginas