@user_3928628

Estudios: Laboratorio Clínico y Biomédico ...Mostrar más

64 Publicaciones

672 Interacciones

0 Seguidores

4 Siguiendo

Lista de publicaciones de user_3928628

He publicado nuevos apuntes de 2º Historia de la Filosofía: Apuntes-Platon-EBAU-ANDALUCIA.pdf

12 páginas

He publicado nuevos apuntes de 2º Química: Tema-de-ACIDO-BASE.pdf

26 páginas

He publicado nuevos apuntes de 2º Química: TEMA DE termodinamica.pdf

22 páginas

apuntes

-

INTEGRALES

He publicado nuevos apuntes de 2º Matemáticas aplicadas a las Ciencias Sociales II: INTEGRALES

SdA-7-INTEGRALES.pdf
01-Integrales-de-una-potencia.pdf.pdf
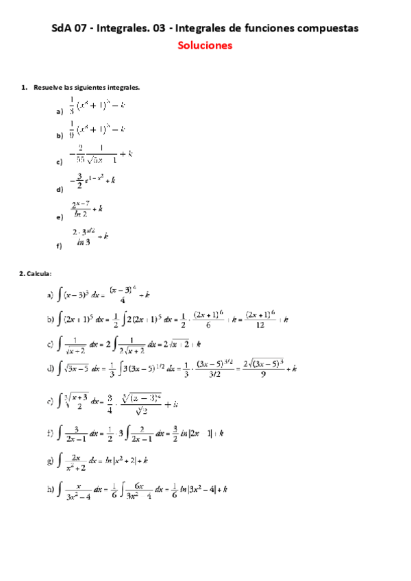
03-Integrales-de-funciones-compuestas.-Soluciones.pdf
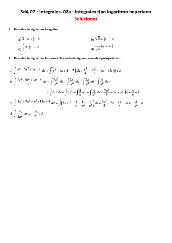
02-Integrales-tipo-logaritmo.-Soluciones.pdf
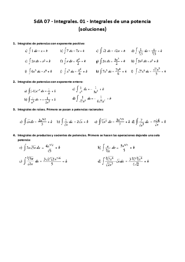
01-Integrales-de-una-potencia.-Soluciones.pdf
02-Integrales-tipo-logaritmo-y-exponenciales.pdf

apuntes

-

Apuntes de literatura EBAU

He publicado nuevos apuntes de 2º Lengua Castellana y Literatura II: Apuntes de literatura EBAU

LA-POESA-A-DEL-GRUPO-POA-TICO-DEL-27.pdf
NUEVO-LIRICA-en-el-grupo-poetico-del-271-3.pdf
NUEVO-LIRICA-Modernismo-Vanguardias1-3.pdf
NUEVO-LIRICA-desde-1940-a-los-anos-70-1-1.pdf
NUEVO-LIRICA-de-los-70-a-nuestros-dias-3.pdf

Material muy útil para el comentario de texto del examen de historia de la filosofía de Descartes.

10 páginas

He publicado nuevos apuntes de 2º Inglés II: Grammar-unit-2-2obach.pdf

4 páginas

He publicado nuevos ejercicios de 2º Inglés II: 19.Future-perfect-simple-and-future-continuous.pdf

3 páginas

He publicado nuevos ejercicios de 2º Inglés II: 19.Answer-key-Future-perfect-simple-and-future-continuous.pdf

2 páginas

He publicado nuevos ejercicios de 2º Inglés II: perfect-tenses.pdf

1 página

He publicado nuevos ejercicios de 2º Inglés II: perfect-tenses-ANSWERS.odt

word

He publicado nuevos ejercicios de 2º Inglés II: phrasal-verbs.pdf

10 páginas

He publicado nuevos ejercicios de 2º Inglés II: mixed-tenses.pdf

2 páginas

He publicado nuevos apuntes de 2º Inglés II: tabla-de-todos-tiempos-verbales.pdf

Miniatura no disponible
5 páginas

He publicado nuevos ejercicios de 2º Inglés II: pastsimplevspastperfect-difficult.pdf

2 páginas

He publicado nuevos ejercicios de 2º Inglés II: gr.passive2.pdf

2 páginas

He publicado nuevos ejercicios de 2º Inglés II: causative-rephrasing.pdf

1 página

He publicado nuevos ejercicios de 2º Inglés II: impersonal-passives-practice-for-2o-bto.pdf

2 páginas

He publicado nuevos ejercicios de 2º Inglés II: have-something-done.pdf

4 páginas

He publicado nuevos ejercicios de 2º Inglés II: passive-2.pdf

1 página