@user_4003141

Estudios: Grado en Estudios Ingleses (EHU) ...Mostrar más

18 Publicaciones

307 Interacciones

1 Seguidores

0 Siguiendo

Lista de publicaciones de user_4003141

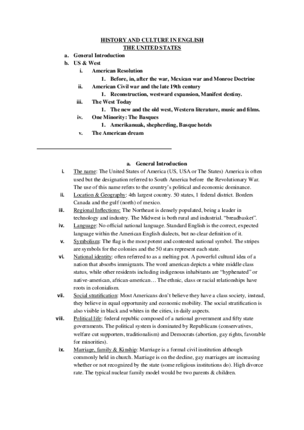
He publicado nuevos apuntes de 2º Historia y Cultura de Los Países de Habla Inglesa: HISTORY-AND-CULTURE-EXAM.docx

word

He publicado nuevos apuntes de 2º Teoria de la Literatura: EDGAR-ALLAN-POE-TEORIA.pdf

2 páginas

He publicado nuevos apuntes de 2º Teoría de la traducción: Definiciones-literatura-2-examen.pdf

1 página

He publicado nuevos apuntes de 1º Lingüística Ii: Linguistica-II-COMPLETO.pdf

33 páginas

He publicado nuevos apuntes de 1º Expresión oral y escrita II: APUNTES-EXPRESION-EXAMENES.pdf

15 páginas

He publicado nuevos apuntes de 2º Teoria de la Literatura: SOBRE-LA-TRAGEDIA-PARTES-Y-ORIGEN.pdf

1 página

He publicado nuevos apuntes de 2º Teoria de la Literatura: TEORIA-LITERARIA-EN-EL-ROMANTICISMO.pdf

3 páginas

He publicado nuevos ejercicios de 1º Expresión Oral y Escrita I en Lengua A: EXPRESION-EXAMEN.pdf

2 páginas

Resumido para poder aprobar. Pd: leeros la Eneida!

9 páginas

He publicado nuevos apuntes de 1º Expresión Oral y Escrita II en Lengua A: EXPRESION-II-EXAMEN-MAYO.pdf

7 páginas

He publicado nuevos apuntes de 1º Expresión Oral y Escrita II en Lengua A: APUNTES-EXPRESION-EXAMEN.pdf

9 páginas

He publicado nuevos apuntes de 1º Introducción a la Literatura en Lengua Inglesa: LITERATURE-EXAM-official.pdf

11 páginas

He publicado nuevos apuntes de 1º Lingüística Ii: LINGUISTICA-II.-TEMA-2.pdf

5 páginas

He publicado nuevos apuntes de 1º Lingüística Ii: LINGUISTICA-II.-TEMA-3.pdf

6 páginas

He publicado nuevos apuntes de 1º Lingüística Ii: LINGUISTICA-II.-TEMA-4.pdf

12 páginas

He publicado nuevos apuntes de 1º Lingüística Ii: LINGUISTICA-II.-TEMA-5.pdf

4 páginas

He publicado nuevos apuntes de 1º Lingüística Ii: LINGUISTICA-II-TEMA-6-SEMANTICA.pdf

7 páginas

He publicado nuevos apuntes de 1º Expresión Oral y Escrita I en Lengua A: EXPRESION-ORAL-Y-ESCRITA-II.pdf

7 páginas