@user_4088371

9 Publicaciones

151 Interacciones

2 Seguidores

1 Siguiendo

Lista de publicaciones de user_4088371

Apuntes tema 1 AC

9 páginas

He publicado nuevos apuntes de 2º Sistemas Operativos: APUNTS-TEMA-4-SO.pdf

18 páginas

apuntes

-

Apuntes EC

Algunos están inacabados pero hacen lo suyo.

TEMA-2.-INSTRUCCIONS-I-TIPUS-DE-DADES-BASIQUES.pdf
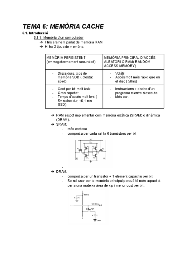
TEMA-6-MEMORIA-CACHE.pdf
TEMA-5-ARITMETICA-DENTERS-I-COMA-FLOTANT.pdf
TEMA-4-MATRIUS.pdf
TEMA-3.-TRADUCCIO-DE-PROGRAMES.pdf

Apuntes tema 2 de sistemas operativos

20 páginas

Apuntes tema 1 de sistemas operativos con glosario de algunos términos y unas preguntas para consolidar temario

6 páginas