@user_4108639

Estudios: Grado en Ingeniería Química (UPV) ...Mostrar más

4 Publicaciones

80 Interacciones

0 Seguidores

0 Siguiendo

Lista de publicaciones de user_4108639

He publicado nuevos apuntes de 2º Química Orgánica: TODAS-LAS-REACCIONES-Q.-O.pdf

7 páginas

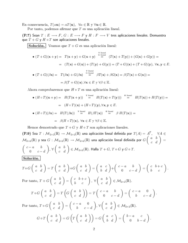
He publicado nuevos ejercicios de 1º Matemáticas I: Ejercicios-Aplicaciones-linealesmatrices.pdf

20 páginas

He publicado nuevos ejercicios de 1º Matemáticas I: Ejercicios-Matrices-y-Espacios-vectoriales.pdf

26 páginas

He publicado nuevos ejercicios de 1º Química: Entrega-2-problemas.pdf

3 páginas