@user_4199319

4 Publicaciones

71 Interacciones

0 Seguidores

1 Siguiendo

Lista de publicaciones de user_4199319

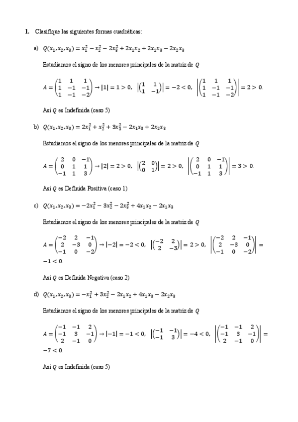
He publicado nuevos apuntes de 1º Matemáticas Empresariales: MatEmpejerciciosT7RESOLUCION.pdf

7 páginas

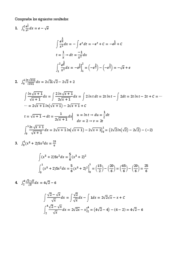
He publicado nuevos apuntes de 1º Matemáticas Empresariales: MatEmpejerciciosT7.pdf

3 páginas

He publicado nuevos apuntes de 1º Matemáticas Empresariales: MatEmpejerciciosT3.pdf

2 páginas

He publicado nuevos apuntes de 1º Matemáticas Empresariales: MatEmpejerciciosT3RESOLUCION.pdf

5 páginas