@user_4285901

20 Publicaciones

447 Interacciones

2 Seguidores

0 Siguiendo

Lista de publicaciones de user_4285901

He publicado nuevos apuntes de 2º Ampliación de Matemáticas: Transformada-De-Laplace-Teoria-y-ejercicios.pdf

3 páginas

He publicado nuevos apuntes de 2º Ampliación de Matemáticas: Resumen-Ampliacion-de-matematicas.pdf

2 páginas

He publicado nuevos apuntes de 2º Redes y servicios de comunicaciones: (Parcial 1) Teoría Introducción y direccionamiento IPV4.pdf

17 páginas

He publicado nuevos examenes de 2º Análisis y Diseño de Circuitos: Examen final 2025 ADC resuelto.pdf

8 páginas

He publicado nuevos apuntes de 2º Ampliación de Matemáticas: Examen-2025-Ampliacion-de-matematicas.pdf

5 páginas

He publicado nuevos examenes de 2º Sistemas Digitales Basados en Microprocesadores: Ordinario 2025 Micros.pdf

15 páginas

He publicado nuevos apuntes de 2º Teoría de la Comunicación: Formulario-final-TC.pdf

4 páginas

He publicado nuevos apuntes de 1º Programación: Apuntes teoría Programación.pdf

17 páginas

He publicado nuevos practicas de 2º Redes y servicios de comunicaciones: Laboratorio 1 redes.pdf

4 páginas

He publicado nuevos apuntes de 2º Redes y servicios de comunicaciones: Apuntes completos redes.pdf

38 páginas

He publicado nuevos examenes de 2º Redes y servicios de comunicaciones: Examen final 2023/24 redes.pdf

4 páginas

He publicado nuevos apuntes de 2º Componentes y circuitos electrónicos: Resumen final (Compos).pdf

5 páginas

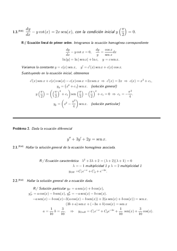
He publicado nuevos apuntes de 2º Ampliación de Matemáticas: 2025 Segundo parcial con solucion (Ampliación matemáticas).pdf

3 páginas

He publicado nuevos apuntes de 2º Ampliación de Matemáticas: 2025 Primer parcial con solución (Ampliación matemáticas).pdf

2 páginas

He publicado nuevos apuntes de 1º Cálculo II : Apuntes Calculo II.pdf

62 páginas

He publicado nuevos apuntes de 2º Teoría de la Comunicación: Apuntes completos tema 2 TC.pdf

15 páginas

He publicado nuevos apuntes de 2º Teoría de la Comunicación: Apuntes completos tema 4 TC.pdf

7 páginas

He publicado nuevos apuntes de 2º Teoría de la Comunicación: Apuntes completos tema 1 TC.pdf

11 páginas

He publicado nuevos apuntes de 2º Teoría de la Comunicación: Apuntes completos tema 3 TC.pdf

22 páginas

He publicado nuevos examenes de 2º Sistemas Lineales: 2024/25 Examen ordinario solución SL.pdf

11 páginas