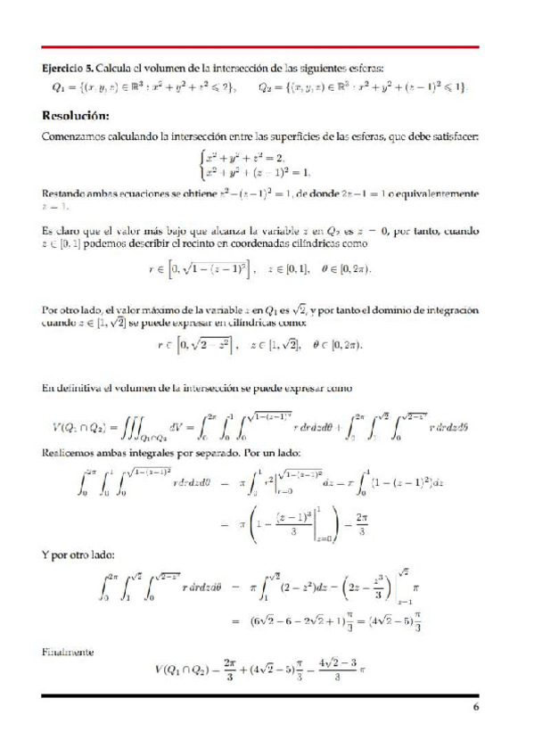
@user_4481186

44 Publicaciones

462 Interacciones

2 Seguidores

0 Siguiendo

Lista de publicaciones de user_4481186

examenes

-

ALGEBRA(EXAMENES RESUELTOS Y TEORIA)-EMPEZAR POR EL DE 2020

He publicado nuevos examenes de 1º Matemáticas I: ALGEBRA(EXAMENES RESUELTOS Y TEORIA)-EMPEZAR POR EL DE 2020

TEORIAIMPORTANTE.pdf
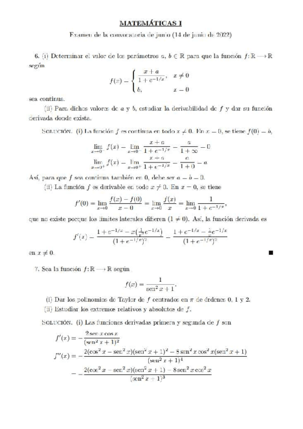
EX14.6.22.pdf
EX18.1.22.pdf
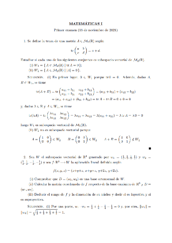
EX18.11.21.pdf
EX18.6.21.pdf
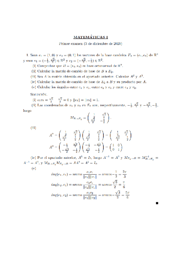
EX3.12.20.pdf

examenes

-

EXAMENES RESUELTOS CALCULO(empezar por el de 2021)

He publicado nuevos examenes de 1º Matemáticas I: EXAMENES RESUELTOS CALCULO(empezar por el de 2021)

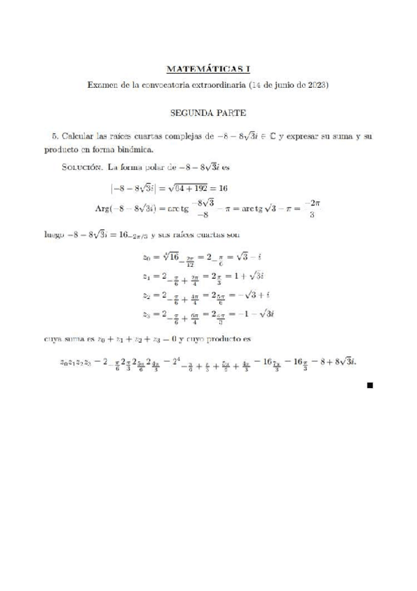
CALCULOI14.6.23.pdf
CALCULOI14.6.22.pdf
CALCULOI18.1.23.pdf
CALCULOI18.1.22.pdf
CALCULOI18.6.21.pdf
CALCULO27.1.21.pdf

examenes

-

EXAMENES RESUELTOS DE INTEGRALES

He publicado nuevos examenes de 1º Matemáticas II: EXAMENES RESUELTOS DE INTEGRALES

TERCER-EXAMEN-RESUELTO.pdf
SEXTO-EXAMEN-RESUELTO.pdf
EXAMEN-RESUELTO.pdf
EXAMEN-RESUELTO.pdf
EXAMEN-RESUELTO.pdf
EXAMEN-RESUELTO.pdf

apuntes

-

TODAS LAS INTEGRALES CON EJEMPLOS

He publicado nuevos apuntes de 1º Matemáticas II: TODAS LAS INTEGRALES CON EJEMPLOS

INTEGRALES-DOBLES.pdf
INTEGRALES-TRIPLES-parte-1.pdf
INTEGRALES-TRIPLES-parte-2.pdf
INTEGRALES-DE-LINEA.pdf
INTEGRALES-DE-SUPERFICIE-parte-1.pdf
INTEGRALES-DE-SUPERFICIE-parte-2.pdf

examenes

-

ECUACIONES DIFERENCIALES (APUNTES Y EXAMENES)

He publicado nuevos examenes de 1º Matemáticas II: ECUACIONES DIFERENCIALES (APUNTES Y EXAMENES)

EJERCICIOS-DE-DIFERENCIALES-VARIADAS-RESUELTAS.pdf
EXAMEN-RESUELTO.pdf
EJERCICIO-DE-EXAMEN-RESUELTO.pdf
PRIMER-EXAMEN-RESUELTO.pdf
ECUACIONES-DIFERENCIALES-APUNTES.pdf

examenes

-

Primera Parte de Mates II (No integrales)

He publicado nuevos examenes de 1º Matemáticas II: Primera Parte de Mates II (No integrales)

SEXTO-EXAMEN-RESUELTO.pdf
QUINTO-EXAMEN-RESUELTO.pdf
CUARTO-EXAMEN-RESUELTO.pdf
TERCER-EXAMEN-RESUELTO.pdf
SEGUNDO-EXAMEN-RESUELTO.pdf
PRIMER-EXAMEN-RESUELTO.pdf