@user_4557434

7 Publicaciones

76 Interacciones

1 Seguidores

0 Siguiendo

Lista de publicaciones de user_4557434

He publicado nuevos apuntes de 2º Ingeniería Gráfica: Resumenes-Ingenieria-Grafica.pdf

11 páginas

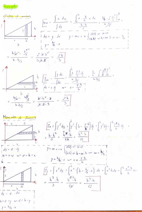
He publicado nuevos apuntes de 2º Teoría de Máquinas y Mecanismos: Centro-de-masas-y-productos-y-momentos-de-inercia.pdf

4 páginas

He publicado nuevos trabajos de 2º Teoría de Máquinas y Mecanismos: Trabajo-Problema-Clase.Parte1.pdf

23 páginas

He publicado nuevos trabajos de 2º Teoría de Máquinas y Mecanismos: Trabajo-Problema-Clase.Parte2.pdf

30 páginas

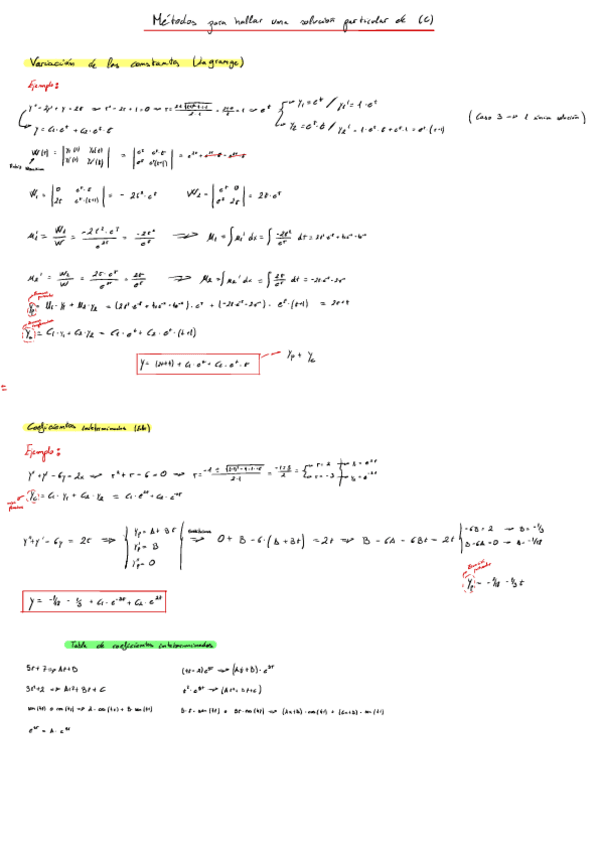
He publicado nuevos ejercicios de 2º Ampliación de Matemáticas: Ecuaciones-diferenciales-lineales-de-orden-2-con-coeficientes-constantes.pdf

17 páginas

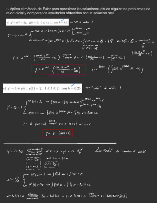
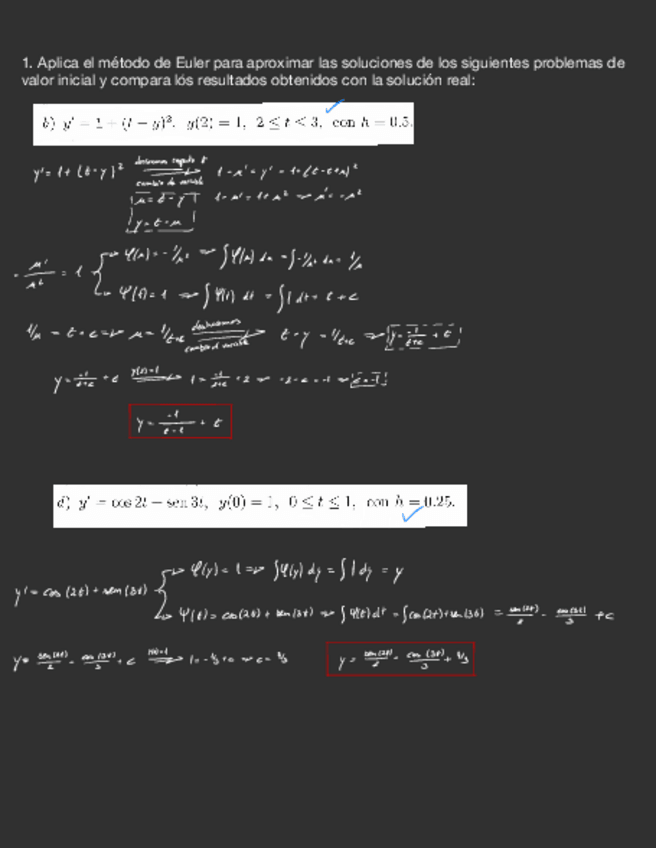
He publicado nuevos ejercicios de 2º Ampliación de Matemáticas: Hojas-Ejercicios-Resueltos.pdf

33 páginas

He publicado nuevos practicas de 2º Ampliación de Matemáticas: Ejercicios-Practicas.pdf

8 páginas