@user_4729279

Estudios: Grado en Ingeniería Mecánica (UCA) ...Mostrar más

98 Publicaciones

1.05k Interacciones

0 Seguidores

0 Siguiendo

Lista de publicaciones de user_4729279

examenes

-

Examenes resueltos

He publicado nuevos examenes de 1º Física II: Examenes resueltos

Examen-Junio-20242025-RESUELTO.pdf
Examen-Junio-24-25.pdf
Examen-septiembre-2024-25-RESUELTO.pdf
Examen-2022-23.pdf

He publicado nuevos examenes de 2º Tecnología Ambiental: Examen--Enero 2025.pdf

24 páginas

He publicado nuevos ejercicios de 2º Tecnología Ambiental: Repaso260129202603.pdf

8 páginas

ejercicios

-

Resolución relación problemas tema 5

He publicado nuevos ejercicios de 1º Física II: Resolución relación problemas tema 5

Problemas-y-soluciones-tema-5-A251230185048.pdf
Problemas-y-soluciones-tema-5-B260127101129.pdf

examenes

-

Examenes Resueltos segunda parte

He publicado nuevos examenes de 2º Ampliación de Matemáticas: Examenes Resueltos segunda parte

Examen-enero-23260124133158.pdf
Examen-enero-22260125200354.pdf
Examen-junio-2025260125200509.pdf
Examen-sep-2024260121102640.pdf
Examen-junio-2023260125200654.pdf

examenes

-

Enunciados de examenes

He publicado nuevos examenes de 2º Ampliación de Matemáticas: Enunciados de examenes

Sept25-4.pdf
Enero23-1.pdf
sep24-4.pdf
junio24-3.pdf
junio23-3.pdf
junio22Mec-1.pdf

ejercicios

-

Resolución de relación de Problemas tema 4

He publicado nuevos ejercicios de 1º Física II: Resolución de relación de Problemas tema 4

Problemas-tema-4-A251208090012.pdf
Problemas-tema-4-B251208163838-1.pdf
Problema-tema-4-C-POTENCIAL-E251230182737.pdf

He publicado nuevos apuntes de 2º Elasticidad y Resistencia de Materiales I: FORMULARIO-AMPLIADO.pdf

3 páginas

He publicado nuevos ejercicios de 1º Física II: Relacion-de-problemas-tema-3-TRMA-GAUSS251207135543.pdf

15 páginas

He publicado nuevos apuntes de 2º Elasticidad y Resistencia de Materiales I: FORMULARIO-Tensiones-en-Seccion-Doble-T.pdf

3 páginas

He publicado nuevos examenes de 2º Ampliación de Matemáticas: EXAMANES-PARCIALES-2025.pdf

4 páginas

examenes

-

EXAMENES RESUELTOS

He publicado nuevos examenes de 2º Ampliación de Matemáticas: EXAMENES RESUELTOS

gieparcial23.pdf
gimparicia21.pdf
ParciaGITI22.pdf
gie1conv.pdf
gieparcial23-RESUELTO.pdf
gie1conv-RESUELTO.pdf

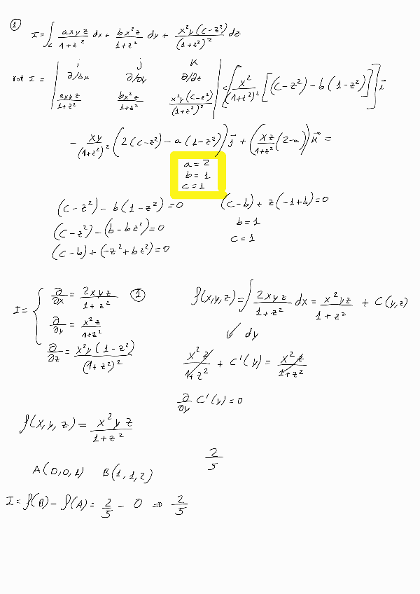
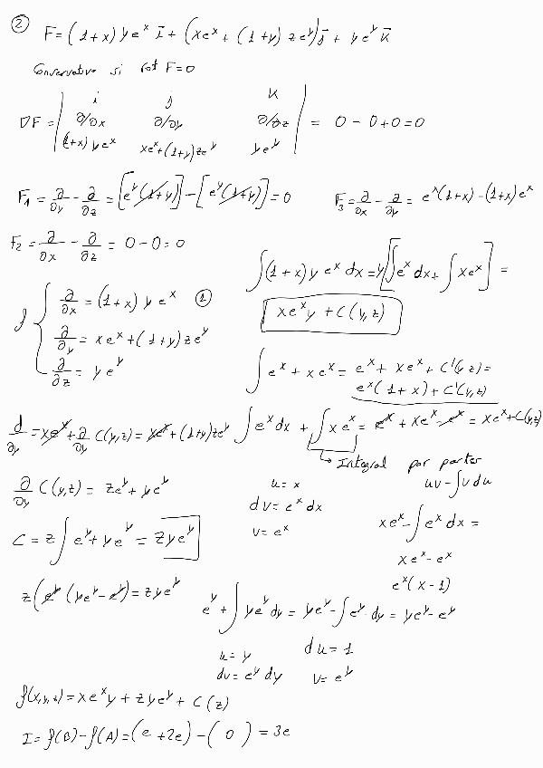
He publicado nuevos ejercicios de 2º Ampliación de Matemáticas: Problemas-integrales-de-linea-RESUELTO251105180029.pdf

28 páginas

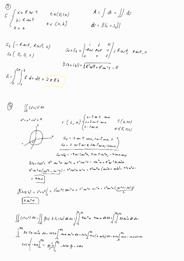
He publicado nuevos ejercicios de 2º Ampliación de Matemáticas: problemas-integrales-superficie-RESUELTO251105171217.pdf

19 páginas

apuntes

-

Soluciones cuadernillo Expresión Gráfica

He publicado nuevos apuntes de 1º Expresión Gráfica y Diseño Asistido: Soluciones cuadernillo Expresión Gráfica

11-Axonometrico-resuelto.pdf
8.2-Soluciones-Hexaedros.pdf
0Soluciones.pdf
5Soluciones.pdf
8.1SolucionesTetraedros.pdf
solucion-8.3-poliedros.pdf